在输电线路上采用串联补偿装置( 以下简称“ 串补装置”)来提高系统的稳定输送容量,改善线路电器参数,实现2条线路输送3 条线路的功率,既提高了传输功率又节省了投资。徐州供电公司500kv 三堡变电站装设的串补装置实现了提高长线路的稳定输送容量,在华东电网“北电南送”输电网络中发挥了重要作用。
1串补装置的基本知识
1.1 基本原理
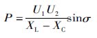
安装串补装置后稳定输送容量提高的原理:高压输电线路的静态稳定输送功率可由下式表示
式中,U1、U2为线路两端的电源电压;δσ为线路两端的电源电压的相角差;XL为线路的阻抗;U1U2/XL为线路的极限输送功率(静态稳定极限)。当线路中安装有串补电容器后,线路的稳定输送功率为

在同一个相角差(σ相同)的条件下,将装有串补电容器前后的稳定输送功率进行比较:Ke=Xe/XL为补偿度。在500kv超高压输电线路工程中,若补偿度设为40%,则每条输电线路安装串补电容器后的稳定输送功率与安装前的稳定输送功率之比为1.67倍。即安装了2 套串补装置后相当于增加了一条输电线路。

1.2 基本接线形式
串联电容补偿装置由电容器组、金属氧化物变阻器(MOV)、放电间隙、阻尼电抗、旁路开关、绝缘平台、保护和控制系统组成。串补装置采用的是固定式装置,其保护电容器的设备是MOV、分路间隙及旁路断路器。该串补装置的基本接线如图1所示。

2 电容器组的应用
电容器组是串补装置的主要设备,其主要技术参数及有关性能见表1.

2.1外熔丝电容器及内熔丝电容器
串补用的电容器通常有2 种:外熔丝电容器及内熔丝电容器。内熔丝电容器是每相电容器组由320台电容器单元组成。该电容器是油浸全膜电容器,实际设计的电场强度为170V/um。电容器组的保护水平为2.3pu,保护电压为230。
外熔丝电容器是熔丝装置安装在电容器单元的外部。IEC标准规定外熔丝的熔断电流应是所保护的电容器额定电流的1.43倍以上,一般取1.5倍。作为串补用的电容器还需要考虑电容器组两端短路放电时熔丝不被熔断,否则在系统发生故障而串补电容器组退出运行时,旁路间隙或分路开关旁路电容器组时会使电容器组的外熔丝动作。
采用外熔丝的电容器,当发生故障熔丝熔断后,熔丝管会跌落下来,巡视人员比较容易发现。但也有缺点,如电容器通常有许多的电容器元件按照一定的规律串并联而成,当其中某个元件被击穿后,与之相关联的并联组会被短路,电容器单元的电容量就会增加,此时该电容器单元仍能工作;工作电流会流过故障电容器元件的故障点使故障扩大,最后使整个电容器单元发生故障,熔丝动作并使故障电容器单元退出运行。若此过程比较长,故障元件的故障点在电流的作用下会不断地产生气体,就有可能使电容器鼓肚子甚至外壳破裂,使整个电容器单元退出运行后会造成电容器组损失较大的容量以及在其他健康的电容器单元上的过电压较高等不良后果。
2.2熔丝熔断对电容器元件的影响
由于电容器单元的熔丝被熔断后的恢复电压较高,熔丝的制造相对比较困难。采用内熔丝的电容器的熔丝安装在电容器的内部,每个电容器元件都有相应的熔丝。当某个电容器元件发生故障时,只是该电容器元件的熔丝熔断,切除该电容器元件。故障电容器元件被切除后,该电容器单元仍然可以正常运行。损失的电容器容量较小,按电容器组设计例子,电容器单元只损失1/52 的容量。运行经验表明,内熔丝电容器单元中单个元件的损坏,不会进一步扩大元件的故障。这是因为元件的额定电流较小,熔丝被熔断时的恢复电压较低,熔丝动作速度相对较快,熔断的副产物不多,不会对单元中其他元件的运行造成危害.采用内熔丝电容器组的主要缺点:A.内熔丝不保护电容器单元的端子与其外壳之间的故障,若发生这类故障,就需要靠电容器组不平衡保护来旁通电容器组。实际的经验表明这类故障发生的概率是非常低的。B.电容器元件或电容器单元发生故障时,不能直观到,必须用专用的仪器定期进行测量才能发现。由于元件的故障是随机分布在各个电容器单元中,因此该电容器元件的故障概率非常低。
2.32种类型电容器的优缺点
根据IEC143 标准规定,电容器组的直流试验电压为1.9*1.414U。对于该电容器组,直流试验电压为437KV,不再考虑电容器单元的电容量的电压分配的不均匀性。这就要求在进行电容器组的配组时要精确测量电容器单元的电容量,以保证并联后每支路电容量的误差小于1%。
为在部分电容器发生故障时能及时发出故障信号或旁通电容器组,因而将每相电容器单元组成-H型,4个臂分别由80个电容器单元以4串20并的方式连接。每个电容器由52个元件组成(4 串13并),
如图2 所示。每个电容器单元和元件的额定参见上面的表1。

2.4故障电容器元件对分布电压的影响
不平衡电流和电容器元件上的过电压的关系可按表2 进行换算。

当部分电容器元件发生故障退出运行后,完好的电容器元件上的电压会有一定的升高。当过电压达5%时就应该发出告警信号;达10%时就应经过一定的延时永久旁通电容器组( 见图1)。实际运行中,测量电容器组的每个单元上的过电压是很困难的,一般采用测量不平衡电流的方法来实现电容器单元的过电压保护。表3中损坏的元件数量指的是出现在一个电容器单元中的同一个并联组中的元件数,其他的电容器单元及有缺陷的电容器单元中其他的并联组均无元件损坏。很显然,同一个并联组出现多元件损坏的概率非常低。当故障的电容器元件散布在不同的电容器单元或在同一单元仅在不同的并联组中时,单元或元件上的过电压要低得多。当不平衡电流达到1.35A 时发出报警信号;不平衡电流达到1.50A时发出旁通命令;13个元件损坏意味着一个单元退出运行。电容器的故障概率( 经验数据):,30年电容器元件的总故障率为2%,按照2组串补的电容器单元数量计算,,30年损坏的元件为1996.8 个;平均到电容器单元上,每单元只有1.04 个。可见故障率是很低的。再考虑到故障元件的随机分布,在实际运行中电容器阻的不平衡保护是不会动作的。只有当电容器单元的套管闪络时,电容器组不平衡保护才有可能动作。
除了因部分电容器单元损坏后退出运行会使健全的电容器单元过电压外,当电容器组流过的电流超过额定电流时,也会导致电容器单元过电压。电容器组是否过负荷是根据测量到的线路电流是否超过额定电流来判断的;线路电流超过额定电流时电容器组过负荷保护的定时器启动计时,当计时器累计时间超过定值时便启动暂时旁通电容器组;若电容器组频繁过负荷则永久旁通电容器组。
3金属氧化物可变电阻(MOV)
当带串联补偿装置的线路发生故障时,系统短路电流要流过串联电容器组。当流过的稳态短路的电流为
20KV时,电容器上的稳态电压的有效值高达600KV.故必须采取适当的措施来限制电容器组上的电压。
3.1MOV 的作用
MOV的作用是限制出现在电容器组上的过电压,保护电容器组。当区外故障发生时,MOV会吸收全部能量,保护电容器组;区外故障消失后,电容器组可自动投入。区内发生故障时,放电间隙被击穿前MOV限制电容器组上的电压。放电间隙经1ms被击穿后,旁通MOV和电容器组,使MOV不再吸收能量,电容器组两端的电压接近零。当区内发生故障时,区内故障的电流较大,MOV 吸收能量的速度很快,流过MOV的大电流会使电容器组两端的电压也较高。采用触发间隙限制出现在电容器组上的过电压,降低所需MOV的能量吸收能力,还能改善系统阻尼次同期振荡的能力。
3.2系统发生故障时MOV的工况
当系统中发生区外故障时,为提高系统的稳定输送容量,串补装置仍应处在运行状态。此时,MOV中会流过部分故障电流而吸收能量。故障电流越大MOV吸收的能量也越大;故障持续时间越长,MOV 吸收的能量也越大。区内发生故障时,故障电流较大,流过MOV的电流也较大。如果故障持续时间(MOV流过电流的时间)与区外发生故障时相同,MOV吸收的能量会比区外发生故障时大得多。为了降低MOV的吸收能量,触发间隙应及时动作,分路电容器组和MOV,使故障电流不再流过电容器组和)MOV,因此要求间隙应在区内故障发生后1ms内旁通MOV及电容器组。
3.3MOV启动方式
为避免MOV 过负荷导致设备损坏,MOV通常设有过负荷保护和短路故障保护,MOV过负荷保护是用于串补线路发生内部故障时快速旁通电容器组和MOV。它有3 种启动方式:大电流流过MOV 时;MOV吸收能量的速度超过某一定值时;MOV 的温度或MOV吸收能量超过某一定值时。通常,当串补线路的区外发生短路故障时,流过MOV的电流较小,分路间隙和旁路断路器都不动作,MOV应能够承受所吸收的能量。启动MOV 过负荷保护的电流应大于串补线路的区外发生短路故障时流过MOV 的电流并留有一定的裕度。MOV过负荷保护的功能主要有:(由大电流启动)实现三相旁通;(由大de/dt启动)实现三相旁通;(由高温启动)实现三相旁通。
4触发间隙
串补装置用的触发间隙都是非自熄灭型的,间隙本身没有很强的灭弧能力,其电弧要在旁路开关合上或线路开关跳闸后才能熄灭。其主要功能是:在一定的条件下迅速被击穿以旁路电容器组和MOV,防止MOV过热而损坏,也可保护电容器组免受过电压的损害。
4.1间隙动作过程
根据设置条件,平台上的触发间隙的控制单元就会接受控制信号,控制单元会发出一个高压脉冲送到三球隙装置的点火球隙,使点火球隙被击穿而导通;点火球隙击穿导通产生的小电弧,在分压器分得的电容器上电压的1/4电压的作用下引发点火触发间隙的导通;点火触发间隙的电压升高,导致精确触发间隙被击穿;点火和精确触发间隙导通后,串联电容器组的电压就施加在上部的主间隙上使其被击穿导通;主间隙上部间隙导通后,由于串联在触发间隙回路中的限流电阻的作用,串联电容器组的电压就转过来施加在主间隙下部,从而完成了整个间隙被击穿而导通。为了保证三球隙装置能可靠地被击穿导通,应采用双套触发信号回路。
4.2放电电压与间隙距离的关系
在装有串补装置的输电系统中发生任何类型故障时,只要没有触发信号,点火三球隙就不应该动作。为达到此要求,球隙的放电电压必须高于电容器组可能出现的最高电压下点火三球隙所分得的电压。根据SIEMNENS厂商提供其点火三球隙的放电电压与间隙距离的关系曲线,按系统的实际情况进行整定,通常点火三球隙放电电压应比最高电压下点火三球隙所分得的电压高10~15%。触发间隙应能承受40KA 的短路电流100ms,10次,40kA的短路电流500ms,1次;或放电25次无须检修,触发间隙能承受100kA 动稳定电流+容器组放电电流而不发生变形或损坏。
5旁路断路器
旁路断路器是用来投入或退出串联电容器组的。它的另一个作用是:当系统发生区内故障时,为了保护MOV不至于因过负荷而损坏,旁路间隙会在很短的时间内被击穿。由于旁路间隙是没有灭弧能力的非自灭弧型间隙,只能用旁路断路器短路间隙使其灭弧。旁路断路器只用于投入或退出串联电容器组,并不需要开断短路电流,所以不要求断路器具有很大的开断容量。其最大开断电流是输电线路的负荷电流。
6串补装置操作控制
6.1装置运行操作的注意事项
(1串补操作及监控微机(WINCC)不得擅自退出运行。
(2/WINCC微机正常应在“串补操作及监控系统”下运行,不得随意更换系统。在运行过程中,运行人员应经常巡视电源状况,发现问题及时处理。如果电源故障不能及时修复应立即汇报。
(3发现/WINCC微机有故障,值班员应及时汇报工区。
(4严禁在串补WINCC 操作微机上使用软盘、光盘,不准拷取WINCC 微机内系统软件。
(5禁止在串补操作/WINCC 微机上进行一切与串补操作无关的操作。
(6)补的操作应严格按照顺控操作逻辑,不得擅自更改操作逻辑或解除闭锁。如发现逻辑闭锁回路有问题,应及时汇报。
(7在/WINCC上进行操作,应严格执行倒闸操作制度。
(8当串补装置改检修且有人工作时,必须拉开串补地刀和刀闸的操作电源。
(9串补网门关闭之前,应检查每相串补平台上及网门内无工作人员,平台小门应关闭,且三相爬梯确已放下并上锁。
7结论
通过500KV安装串联补偿装置的运行实践,实现了提高长线路的稳定输送容量,改善了并联线路之间的负荷分配,降低了线路损耗,有效地提高了电压质量。对这套串联补偿装置实现了有效的操作与控制,它的使用具有明显的经济效益和社会效益。但是由于超高压线路使用串联补偿装置为数不多,运行经验、检修经验不成熟,因此若装置中选择带部分可控串联补偿方式,对系统发生故障后消除振荡更为有益。
