1 引 言
由于PWM整流器与传统的不控整流器和相控整流器相比较,具有单位功率因数、网侧电流正弦化、能量可能实现双向流动等优点,因此,PWM整流器的发展和应用将成为主流。随着对PWM整流器模型的不断改进和对PWM整流器认识的不断加深,建立了PWM整流器的非线性模型,这不仅很好地体现了PWM整流器的非线性特性,而且为将非线性控制理论应用到PWM整流器奠定了良好的基础。本文就是在试图将非线性控制理论中的状态反馈线性化方法引入到PWM整流器的控制方面作一下探讨。
2 三相电压型PWM整流器的数学模型
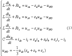
图1是三相PWM整流器的拓朴结构,功率开关按采用的调制方式动作,由于输入电感的滤波作用,整流器交流侧可近似认为是三相正弦电流;直流侧有大电容稳压,输出呈直流电压源特性,稳态时输出直流母线电压可保持不变,一般情况下,要求控制输入电流与输入电压同相位,通常采用电压外环和电流内环的双环控制方式,电压外环主要是保证直流输出电压稳定,电流内环主要是按电压外环输出的电流指令进行电流控制,如实现单位功率因素正弦波电流控制。

图1中,
表示输出的端电压,L、R分别为外加电压和整流器等效阻抗。由图1列出PWM整流器的基本方程:

式中![]()
为单值开关函数,定义如下:

为了获得良好的控制性能,对(1)进行d-q坐标变换,得到其d-q模型:

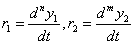
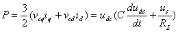
从功率平衡的角度考虑(2)式的第三个式子,则有:
于是有
因此,三相电压型PWM整流器的非线性模型亦可描述为:

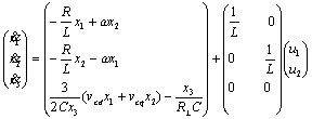
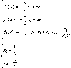
上述所得到的数学模型(式(5))表明系统为多输入多输出(MIMO)非线性系统。此系统可以用如下的状态矩阵形式表示:
其中X和U分别为状态变量和控制变量。选择状态变量

于是,三相电压型PWM整流器的状态矩阵形式可写为:

其中:

从而可以得到状态空间形式下的三相电压型PWM整流器的控制框图,如图2所示。

3 状态反馈非线性控制原理
对非线性系统:
![]()
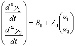
进行输入输出线性化的过程为:重复对输出y进行微分,直至输入u首次出现,即:
其中,
,而r是使![]()
的最小正整数,称为系统的相对度。显然,控制律
使输出y和新的输入v之间具有线性关系:![]()
对于三相电压型PWM整流器系统,由所得到的模型表明系统为多输入多输出系统,且具有两个输入量,因此便可能控制两个输出变量![]()
。将输出![]()
的n阶导数和将输出![]()
的m阶导数和控制变量
和![]()
联立起来,可以得到一个矩阵微分方程:

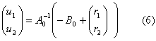
为了应用状态反馈将其线性化(输入输出线性化),必须要设定外部输出的值,即两个n阶导数和m阶导数。设
一旦将这两个导数的值计算出来,便可以得到用来变换系统(1)的控制变量
和
:

假定在稳态时,有![]()
和![]()
,于是可以通过确定与设定值![]()
和![]()
相关的特征方程的系数来确定变量![]()
的变化。

于是,系数![]()
的计算便可能通过特征方程来计算。因此,必须要作如下选择:

将所采用的非线性控制原理概括如下:
应用式(7)来计算外部输入![]()
;应用式(6)来得到控制输入
和![]()
;
应用式(7)以及![]()
的一阶导数和![]()
的二阶导数,就可以设计出如图3所示非线性控制器。

4 系统仿真及结论
通过非线性控制模型,运用Matlab进行仿真研究PWM整流器电流的任意控制和采用非线性控制时PWMΩ整流器的响应。仿真系统参数为:![]()
,仿真所采用的开关频率为![]()
,主电路参数为R=0.5Ω,L=5Mh,C=4700F,
。
图4给出了PWM整流器采用不同控制器时PWM整流器直流电压的阶跃响应,并对两种控制器作了比较。仿真结果表明PWM整流器在采用非线性控制器后具有了更快的响应速度和较小的超调量。

图4 采用不同控制下VSR直流电压的阶跃响应
图5和图6分别给出了非线性控制和线性控制下在t=0.01s时刻无功电流突变时的响应。从仿真结果可以看出,非线性控制时PWM整流器能够将有功功率和无功功率解耦运行,即在无功电流突变时,其直流侧电压不受影响;但是在线性控制时不能做到这一点。另一方面,非线性控制时PWM整流器无功电流![]()
具有较好的跟随性能。


图7给出了PWM整流器采用不同控制器在t=0.005s时刻负载突变时的响应。显然,非线性控制时PWM整流器具有更好的抗扰。这也说明采用非线性控制器后,PWM整流器具有了更好的抗扰动性能。

5 结束语
在三相电压型PWM整流器非线性模型(d-q模型)的基础上,应用状态反馈线性化方法设计出了应用于三相电压型PWM整流器的非线性控制器,并对此非线性控制器进行了仿真,并且与线性控制器进行了比较。仿真结果表明,与线性控制器相比较,非线性控制器设计具有更好的跟随性能和更好的抗扰性能;并可实现有功分量和无功分量的解耦运行。这还为PWM整流器的高性能应用提供了理论依据。
