1 基本原理
光电定向是指用光电系统测定目标的方向,这是光学雷达和光学制导的重要组成部分[1],利用光电系统可以直接、间接测定目标的方向,该系统主要由发射部分、光电探测器,信号处理电路,A/D转换器和单片机、计算机显示器组成,结构框图如图1所示。

2 具体实现
2.1 发射部分
光发射电路主要由光源驱动器、光源(主要是半导体光源,包括LED(发光二极管),LD(激光二极管)等)、光功率自动控制电路等部分组成,我们用NE555组成的脉冲发射电路来驱动650nm的激光器,为了使半导体激光器克服供电电源波动、器件老化等因素的影响,确保激光器输出功率稳定,还必须有自动功率控制电路。
2.2 接收部分
接收部分主要由四象限光电探测器组成,四象限光电探测器是把4个性能完全相同的光电二极管按照直角坐标要求排列而成的光电探测器件,目标光信号经光学系统后在四象限光电探测器上成像,如图2所示[2],一般将四象限光电探测器置于光学系统焦平面上或稍离开焦平面,当目标成像不在光轴上时,4个象限上探测器输出的光电信号幅度不相同,比较4个光电信号的幅度大小可以知道目标成像在哪个象限上(也就知道了目标的方位)。

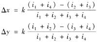
四象限光电探测器是通过测量来自激光束的光斑质心的位置变化,并借助某种算法来同时确定光斑的两个方向的偏移量,如图3所示[3],光斑被四个象限分成A、B、C、D等4个部分,其面积分别为s1、s2、s3、s4,对因的4个象限产生的阻抗电流分别为i1、i2、i3、i4。由i1+i4和i2+i3的比例可以确定横向偏移量,i1+i2和i3+i4的比例可以确定纵向偏移量。

采用的算法是:

式中:k比例系数,是一常量。 当光斑中心与四象限光电探测器中心一致时,4个象限阴极产生的阻抗电流i1、i2、i3、i4都相等,两个方向的直线度误差为0,当两者中心步重合时,两个方向的偏移量可以由上式求出。
2.3 信号处理电路
四象限光电探测器将接收的4路光信号转变成电信号,经过放大后送入信号处理部分,单脉冲定向系统中,光脉冲通常由激光产生,其脉冲宽度一般为几十纳秒量级,也许更窄。而重复频率比较低,一般为几十赫,这种信号要用来指示或控制,需要经过放大与展宽。由于4路相同,4路信号采用完全相同的电路,首先通过放大器对各路信号进行放大,放大后的信号送入展宽电路(见图4)进行展宽,展宽实质上是峰值保持的一个特例,由于脉冲宽度极窄要求电路响应快,又要保持响度较长的时间,而且还需要有较高的线性输出,所以展宽电路实质上是用于将目标脉冲信号在显示时有一个持续时间,以便观察。

2.4 A/D转换和单片机部分
实现模拟信号的数字显示必须对模拟信号进行A/D转换,A/D转换时需要考虑转换的精度和速度,A/D转换器的转换位数决定了转换的精度,时钟频率决定了转换的速度,通过A/D转换后的信号再送入单片机[4],然后通过RS-232连接线与计算机相连,在计算机上显示数字输出。 在光电定向实验仪中,单片机的任务是:4路信号的数据采集,与上位机的串口通信,驱动步进电机,通过单片机产生脉冲信号。 单片机的整体程序框图如图5所示。

4路采样信号经A/D转换后传送到单片机,经过处理,确定光斑质心的坐标,将质心的坐标及4个象限的信号值送上位机显示。
单片机负责传输转换后的信号,并接收上位机下达的指令来控制步进电机。上位机下达控制指令,通过单片机传到步进电机,上步进电机执行相应的操作。
2.5 上位机显示
单片机与计算机进行串口通信,将通过A/D转换器和单片机处理的信号送入计算机显示。上位机可以实现的功能有: a)在软件界面上实时显示四象限光电探测器的每个象限接收的光信号的强弱(由电压表示); b)实时显示目标光源的运动轨迹; c)实时显示目标光源的二维坐标;
d)实现目标的手动跟踪和自动跟踪。 每个象限的光强伏值可以直接从单片机采集的数据读取;目标光源的运动轨迹可以固定光斑的半径,而通过确定光心位置坐标的改变来观察光源的运动轨迹,而且直观地把目标光源的中心坐标显示出来,但要实现目标的手动跟踪和自动跟踪,则要通过手动平移台和电控平移台来实现,目标控制是希望通过在目标控制界面下直接输入目标坐标来直接定位探测器。在计算机中输入目标的坐标,单片机接收上位机的指令,从而驱动步进电机运动,把从计算机读入的数值和从步进电机读取的数值进行比较,当两者在一个很小的误差范围内时,步进电机停止运动,而光斑也到了需要达到的位置,从而实现了目标控制。 自动控制是指当偏移目标时,可以通过自动控制来实现目标的跟踪,当单片机检测到从计算机读入的坐标和从电控平移台读取的坐标不一致时,就会给步进电机一个驱动指令,从而控制步进电机运动,以实现目标的自动控制。 3 结束语 本文介绍的这种装置是目前应用最广泛的一种光电定向方式,在实际应用中具有精度高、价格低、便于自动控制和操作方便的特点,因此,在激光制导、光电准直,光电自动跟踪、光电制导和光电测距等技术领域得到了广泛的应用。