供水系统是国民生产生活中不可缺少的重要一环。传统供水方式占地面积大,水质易污染,基建投资多,而最主要的缺点是水压不能保持恒定,导致部分设备不能正常工作。变频调速技术是一种新型成熟的交流电机无极调速技术,它以其独特优良的控制性能被广泛应用于速度控制领域,特别是供水行业中。由于安全生产和供水质量的特殊需要,对恒压供水压力有着严格的要求,因而变频调速技术得到了更加深入的应用。恒压供水方式技术先进、水压恒定、操作方便、运行可靠、节约电能、自动化程度高,在泵站供水中可完成以下功能:(1)维持水压恒定;(2)控制系统可手动/自动运行;(3)多台泵自动切换运行;(4)系统睡眠与唤醒。当外界停止用水时,系统处于睡眠状态,直至有用水需求时自动唤醒;(5)在线调整PID参数;(6)泵组及线路保护检测报警,信号显示等。 其工作原理如图1所示。

将管网的实际压力经反馈后与给定压力进行比较,当管网压力不足时,变频器增大输出频率,水泵转速加快,供水量增加,迫使管网压力上升。反之水泵转速减慢,供水量减小,管网压力下降,保持恒压供水。
1 系统硬件构成
系统采用压力传感器、PLC和变频器作为中心控制装置,实现所需功能。图2为3台泵恒压供水系统的结构图。

安装在管网干线上的压力传感器,用于检测管网的水压,将压力转化为4~20mA的电流信号,提供给PLC与变频器。
变频器是水泵电机的控制设备,能按照水压恒定需要将0~50Hz的频率信号供给水泵电机,调整其转速。ACS变频器功能强大,预置了多种应用宏,即预先编置好的参数集,应用宏将使用过程中所需设定的参数数量减小到最小,参数的缺省值依应用宏的选择而不同。系统采用PID控制的应用宏,进行闭环控制。该宏提供了6个输入信号:启动/停止(DI1、DI5)、模拟量给定(AI1)、实际值(AI2)、控制方式选择(DI2)、恒速(DI3)、允许运行(DI4);3个输出信号:模拟输出(频率)、继电器输出1(故障)、继电器输出2(运行);DIP开关选择输入0~10V电压值或0~20mA电流值(系统采用电流值)。变频器根据给定值AI1和实际值AI2,即根据恒压时对应的电压设定值与从压力传感器获得的反馈电流信号,利用PID控制宏自动调节,改变频率输出值来调节所控制的水泵电机转速,以保证管网压力恒定要求。
根据泵站供水实际情况与需求,利用一台变频器控制3台水泵,因此除改变水泵电机转速外,还要通过增减运行泵的台数来维持水压恒定,当运行泵满工频抽水仍达不到恒压要求时,要投入下一台泵运行。反之,当变频器输出频率降至最小,压力仍过高时,要切除一台运行泵。所以不仅需要开关量控制,还需数据处理能力,采用FX-4AD(4模拟量入)获得模拟量信号。它在应用上的一个重要特征就是由PLC自动采样,随时将模拟量转换为数字量,放在数据寄存器中,由数据处理指令调用,并将计算结果随时放在指定的数据接触器中。通过其可将压力传感器电流信号和变频器输出频率信号转换为数字量,提供给变频器[1>,与恒压对应电流值、频率上限、频率下限(考虑到水泵电机在低速运行时危险,必须保证其频率不低于20Hz,因此频率上限设为工频50Hz,下限设为20Hz)进行比较,实现泵的切换与转速的变化。
系统在设计时应使水泵在PLC和工频电网之间的切换过程尽可能快,以保证供水的连续性,水压波动尽可能小,从而提高供水质量。但元件动作过程太快,会有回流损坏变频器。为了防止故障的发生,硬件上必须设置闭锁保护,即1Q与4Q,2Q与5Q,3Q与6Q不能同时闭合。
2 系统软件设计
控制系统软件是指用梯形图语言编制的对3台泵进行控制的程序。它对3台泵的控制,主要解决系统的手动及自动切换、各元件和参数的初始化、信号及通讯数据的预处理、3台泵的启动、切换及停止的条件、顺序、过程等问题。
当变频器输出频率达到频率上限,供水压力未达到预设值时,发出加泵信号,投入下1台泵供水。当供水压力达到预设值,变频器输出频率降到频率下限时,发出减泵信号,切除在工频运行方式中的1台泵。系统刚启动时,情况简单,首先启动一号泵即可。但考虑3台泵联合运行时情况复杂,任1台或2台泵可能正在工频自动方式下运行,而其他泵则可能在变频器控制下运行,因此必须预先设定增减水泵的顺序。即获得加泵信号后,按照1号泵、2号泵、3号泵的顺序优先考虑。获得减泵信号后,按照3号泵、2号泵、1号泵的顺序优先考虑。
为了防止故障的发生,软件上也必须设置保护程序,保证1Q与4Q、2Q与5Q、3Q与6Q不能同时闭合。在加减泵时必须设置元件动作顺序及延时,防止误动作发生。系统切换泵流程见图3。

考虑到系统工作环境对运行状态的影响,在设计中采用硬件、软件上的双重滤波来消除干扰的影响。硬件上变频器提供了滤波时间常数,当模拟输入信号变化时,63%的变化发生在所定义的时间常数中;软件上采用数字滤波的方式,系统采用平均值的方法。
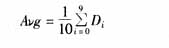
计算最近10次采样的平均值,其计算公式如下:
3 系统参数的确定
系统变频运行主要靠变频器来实现。变频器有一数量很大的参数群,初始情况下,只有所谓的基本参数可以看到。只需设定简单的几个参数,变频器就可以工作。 主要基本参数见表1。

除基本参数外,还必须对完整参数进行设定。
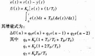
完整参数的设定主要是PID参数的整定,它是按照工艺对控制性能的要求,决定调节器的参数Kp,TI,TD。控制表达式为:

系统运算程序见图4。

变频器根据偏差调节PID的参数,当运行参数远离目标参数时,调节幅度加快,随着偏差的逐步接近,跟踪的幅度逐渐减小,近似相等时,系统达到一个动态平衡,维持系统的恒压稳定状态。
4 试验结果
由于系统的显示和通讯功能,可以对系统工作情况进行监测。考虑到管网覆盖面积大,泵站海拔高度相对低,远端供水压力需维持3kg,因此泵站出水口压力必须维持5kg。试验条件为管网初始无压 力,电磁阀控制一定量相同用水情况下启动系统。获得的数据经MATLAB进行插值拟合可得系统在不同条件下跟踪压力变化的曲线[5]。
试验记录的数据显示,系统在未进行滤波和PID控制时,响应速度特别慢、误差大、振荡严重,见图5。在未进行滤波而引入数字PID控制时,响应速度明显加快,但振荡问题未能得到解决,这是由于喘振现象的存在;当管道压力与设定值近似相当时,水锤效应影响明显,压力波动异常,PID的参数跟踪整定,形成恶性循环,管道中空气的存在也会导致振荡问题,见图6。引入滤波与数字PID控制后,系统控制品质明显好转,响应速度快,克服了振荡问题,见图7。表2为试验数据表。




该系统是按照工业生产需求设计的,实现了预定的一系列功能,保证了系统的稳定和安全性,在长时间运行中取得了良好的效果。只需作相应修改就可推广到相关供水系统中。