1.前言
为了满足各种国际标准对开关电源谐波的要求,抑制电子产品对电网的污染,大量的功率因数校正 (Power Factor Correction-PFC) 技术应运而生。这些电路通常可以分为两级式和单级式两种。两级式电路应用单独的变换器 (如Boost电路)电路实现功率因数校正,并可以对功率级的输入电压进行预调节,从而可以达到很高的功率因数,同时,具有很好的输出整定特性。但两级式电路实现起来比较复杂,电路的体积和重量较大,另外,由于功率经过两级电路处理,功率密度明显降低,电路的效率不高。在小功率场合 (如家电中) ,非常不经济。针对这种情况,各国研究者推出了大量的单级功率因数校正电路,与两级式电路相比,单级电路结构简单,功率密度高,可同时实现对输入电流波形的校正和对输出电压的调整。但在实际中,单级电路通常存在以下几个缺点:
(1)输出侧低频电压纹波较大;
(2)开关损耗及整流损耗较大,影响变换器的总体效率;
(3)线路电流中电磁干扰 (EMI) 噪声较大;
(4)开关管的电压应力很高。
上述几点限制了单级电路在小功率场合的应用,针对上面的问题,本文采用了Boost电路和半桥电路结合的单级功率因数校正电路。采用非平衡式控制 (Asymmetrical Control) 实现了开关管的软开关。文中将对该电路工作原理和特点进行介绍,并重点分析几个关键参数的确定。
2.电路拓扑及工作原理
  
图1 ZVS单级半桥PFC变换器
图1即为本文采用的电路拓扑。将Boost电路与传统的半桥电路整合为单级式功率因数校正电路。其中Lr为变压器漏感,Dq1,Cq1 (Dq2,Cq2)分别为开关管寄生二极管和电容。电路的主要工作原理是:开关管Q1,Q2互补导通,之间留有小的死区时间,防止上下管发生直通;利用变压器漏感Lr与开关管寄生电容的谐振实现开关管的软操作。这样可以最大限度的利用电路参数,不需要采用额外的有损元件和有源开关,省掉了复杂的附属电路;而且电路中的有源、无源器件基本上都可以实现低损耗工作,电路具有比较好的性能。
  
图2 工作波形
图2所示为电路的主要工作波形。实质上电路可分为四个最主要的工作模态,其他的时段均为中间的过渡过程,为了简要的说明问题,此处重点对这四个主要模态进行分析。
模态1(t0-t2):Q1开通,ILin线性上升,同时完成对Lin的充电和对负载的供电两个功能,ILin和二次侧反馈电流同时流过Q1,所以Q1的电流应力比Q2要大的多,在选用开关管时,应该以Q1为准。此时,对Lin和Lr的上的电流有:
  
模态2(t2-t4):Q1关断,由于Cq1初始电压为零,可以实现对Q1的钳位,使其实现零电压关断(ZVS)。Cq1由ILin(t)和Ioav/n快速充电,其电压表达式为:
  
模态3(t4-t5):Q2开通,由于
  ![]()
,Q2的寄生二极管Dq2开始导通,电流
  ![]()
流过Dq2,从而Q2可以实现零电压(ZVS)开通。ILr线性减少,其表达式为:
  ![]()
(7)
其中I05有如下形式,
  ![]()
(8)
直至
  ![]()
,C2开始向负载供电。此时,输入电流为:
  ![]()
(9)
当
  ![]()
时,模态3结束。
  
需要注意的是在上述分析中将死区的区域扩大描述,实际中死区的表现不是很明显。对状态变量而言,在很小的死区时间内变化非常慢。但对于桥式变换器而言,死区的作用无可替代,而且对一些性能的影响比较重要,在设计时需要综合考虑,选择合理的死区。
3.控制策略
本文中所述的变换器采用非平衡控制,即互补导通技术,同时利用桥臂上下开关管交替导通的特点实现电路的无损软开关操作。变换器输出电压纹波1%,采用图3中的电压反馈控制策略
  
图3 电压反馈控制框图
3.1 小信号模型
如图3中所示,输出电压与一个参考电压比较生成误差电压,经过误差放大器产生控制
  ![]()
,从而通过PWM控制器调整占空比d,最后对功率级采用空间状态平均法建模并对其线性化得到小信号模型,
  ![]()
,可参考文献[3]。
  ![]()
(14)
  
3.2 补偿回路
为了适应负载变化时系统的稳定性,需要设计补偿回路。本文中采用文献[2]中介绍的控制回路及补偿电路,其框图如图4。
  
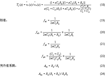
对应图3,结合图4补偿回路参数,可得误差放大回路(补偿回路)传递函数为:
  
则由式(18)-式(24)使极点和零点为90Hz,120Hz,530Hz及600Hz,从而可以设计补偿回路。在实际应用中,常常采用建立电路小信号模型,通过MATLAB仿真调整的方法来确定控制回路的补偿方法。
4.验证结果
基于前文中所述的理论,本文中设计了一种基于非平衡控制理论的变换器电路。电路参数如下:
输入电压:线电压110VAC,线频60HZ,适应范围90V-150V AC;
输出参数:输出电压12 V DC,电流10A;
开关频率:100KHz
在最低输入电压90V时Q1最大占空比0.5。
  
图5(a)中的波形为变换器交流输入端的电压电流波形,可以看到校正效果非常好,图5(b)图为整流桥后面的整流电压和电感电流波形,其中曲线1为整流电压波形,曲线2为输入电感波形。经测试,稳定时的变换器功率因数可达0.99,总体效率可达85%以上,电路的总体效率明显提高。另外,图5(b)曲线1中整流电压含有谐波,这是由于半桥电路中的谐振回路产生的高频谐波分量反馈回整流电路而产生的现象。在实际设计中可以考虑优化设计滤波器,可以有效抑制高频谐波量对整流电压的影响。
  
图6中显示的是输入电感电流、谐振电感电流及开关管Q2(即寄生电容Cq2)两端的电压波形。其中曲线1为Q2电压波形;曲线2为输入电感电流;曲线3为谐振电感电流波形。基本上与理论分析相吻合。
5.结 语
与传统的半桥电路不同,为了实现开关管的零电压(ZVS)、零电流(ZCS)操作,同时降低电路导通的零损耗,本文中介绍了一种工作在非平衡状态的半桥电路。通过电路内部的谐振达到降低损耗、提高效率的目的。在设计中电路的关键参数选择具有重要的意义,应结合电路工作特点,从成本、性能各方面综合考虑,重点是对关键谐振环节与磁性元件进行优化设计;同时,在设计控制回路时,要考虑变换器电路的整体性能要求,尽量满足各种输入及负载波动下电路的稳定性。实际中可将电路建模(大信号模型或小信号模型)思想融入到设计过程,利用解析模型概念清晰、参数易调整的特点优化控制电路的设计。
