随着射频无线产品的快速发展,对微波滤波器小型化、集成模块化,高频化的要求也越来越高。而小体积、高性能和低成本的微波滤波器的市场需求量增加。此类微波滤波器的设计与实现已经成为现代微波技术中关键问题之一。其主要的设计概念是将二维的电路布局变为三维电路布局,借此达到缩小体积的目的。由于低温共烧陶瓷(LTCC,Low TemperatureCofired Ceramic)技术具有高集成密度、高性能、高可靠性以及可内埋置无源元件等优点,成为多层无源器件和电路设计的主流,对微波无源器件的小型化起到了极大的推动作用。文中所研究设计的基于LTCC多微波无源滤波器力求达到结构小型化和性能优越化。
1 具有传输零点滤波器原理
传输零点理论指的是滤波器传输函数等于零,即在这一频点上能量不能通过网络,因而起到完全隔离作用。通常带通滤波器在无限远的频点处其传输函数是趋于零的,称之为无限传输零点,但由于是无限远,因此没有实际意义。在实际设计的带通滤波器中为了使通带外有较大抑制,就需要在一些特定的频点处引入零点,这便是通常所指的有限零点。
LTCC中有多种引入零点方法,由于LTCC往往采用多层结构,器件排列紧密,相互之间电磁耦合也会很大,这通常会使得电路特性恶化。文中利用螺旋电感之间的耦合,提高电路特性。滤波器结构如图1所示,为了能和外部电路阻抗匹配,引入电容C1和C2,而C3和L1以及C4和L2各自组成一个谐振电路。其中,L1和L2交叉耦合系数为M,C5为接地电容。该结构可以看作两部分,上面一部分是一个典型的二阶带通滤波器,如图2所示。下面是一个对地耦合电容,如图3所示。带通结构产生所需要的通带特性,传输零点位于直流点和无限大频率处,引入的对地藕合电容,可以得到所需要的两个传输零点,而且对与它串联的带通滤波器的通带特性影响很小。



利用微波网络分析的方法,该二端口网络可以看成图2和图3两个网络的串联,整个网络的Z矩阵等于上下两个网络的Z矩阵之和。

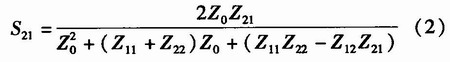
该网络的传输系数S21可以通过网络的Z矩阵转化而来

其中,Z0为端口的特性阻抗,均为50 Ω。令S21=0,由式(2)可得

其中,

从而得到

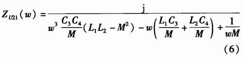
利用ABCD矩阵级联相乘,再转化为Z矩阵,得到网络U的Z矩阵

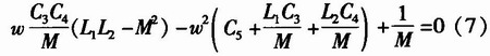
将式(6)带入式(5)得

该方程的两个正根就是两个传输零点的频率值,从式中看到,通过改变耦合电容C,可以得到不同的零点频率。
2 电路设计仿真
用插入损耗法设计滤波器。

若用其设计一个带内波纹为O.2 dB的切比雪夫二阶带通滤波器,根据滤波器设计原理可以确定电路中各元件的值。L1=L2=1.46 nH,C1=C2=0.82 pF,C3=C4=2.55 pF,M=10.02 nH,接地电容C=18 pF。利用ADS电路仿真软件来仿真,利用该软件得出电路的散射参数S,如图5所示。由式(7)知该电路有两个传输零点,在图中可以看到它们分别位于通带的两端,起到了带外抑制作用。而另一条曲线显示的是没有加接地电容,显然带外抑制效果差。


图5所示,接地电容不仅能够起到引入传输零点的作用,还能够控制传输零点的位置。
3 LTCC中的结构布局
在电磁仿真软件中设计LTCC布局,为了有效利用电感之间的耦合,构造出图1所示的结构。所用介质材料的介电常数εr=7.8,3层为0.08 mm,第4和第5层0.18 mm,最下面的l层为0.25 mm,1层6层为接地面,1层和2层构成C5,2层和3层构成C3与C4,4层和3层构成C1与C2,第5层为螺旋电感构成L1和L2,它们之间耦合形成M。其结构由图6给出,当这两个对称的电感距离越近时互感值M便越大。整体大小为3 mm×3 mm×O.7 mm。

仿真工具选用AnsoftHFSS和IE3D,分别在各自环境下根据前面得到的元器件数值,设计出符合要求的集总元件尺寸。图7便是两种仿真软件所得出的结果,与ADS电路仿真结果吻合。

4 结束语
结合LTCC技术设计出了一个中心频率在2.45 GHz的二阶带通滤波器,它不仅尺寸小巧,符合现代对无线产品小型化的要求。而且它在带外还有两个传输零点,很好地实现带外抑制,且能利用接地电容大小控制零点位置,有效地满足了在更小的尺寸内实现较好的射频功能。在电感电容等集总元件研究基础上,利用电路仿真,电磁仿真分析相结合的方法得到了设计仿真效果。