光子晶体光纤传感器的稳定性在实际工程应用中具有重要影响。文章分析了光子晶体光纤压力传感器的基本原理, 介绍了光子晶体光纤压力传感器的系统组成, 从理论上分析了传感器系统相对于光源波长变化、输出信号光强起伏及环境温度波动的稳定性。光子晶体光纤压力传感器激光光源的输出功率及波长的波动、敏感元件长度的改变和环境温度的变化等都对整个传感器系统的稳定性有影响。
0 引言
光纤对环境温度和应力应变具有敏感特性, 可广泛用于环境压力变化的监测。光子晶体光纤( PCF) 与传统光纤相比具有独特的传光特性 ,在各种有源和无源器件中具有重要作用。在PCF 压力传感器中, PCF 对压力的敏感性高于普通光纤,而温度敏感性比普通单模光纤低一个数量级, PCF压力传感器比普通光纤传感器更优越 。在PCF压力传感器用于环境监测的过程中, 如果PCF 传感器没有很好的稳定性, 就无法精确确定其他误差来源, 也就不能精确测量外界压力的变化。因此, 传感器的稳定性一直是工程应用中最为关心的问题, 稳定性成为光纤传感器实用化的主要障碍。影响光纤传感器本身稳定性的因素主要包括光纤传感器结构、光源的性能、外界温度的改变和制造工艺。
PCF 传感元件及其压力传感器具有优异的传感性能, 在智能材料结构领域具有广阔的应用前景,但传感器的稳定性是PCF 压力传感器的关键。本文主要从PCF 压力传感器系统的激光光源、环境温度变化及构成传感器系统的其他无源器件等方面讨论其稳定性。
1 PCF 压力传感基本原理
在PCF 压力传感器系统中, 作为敏感元件, 采用的是折射率引导型PCF, 其传播的光脉冲限制在纤芯内。当有外部压力作用时, PCF 内各点产生面应力, 在面应力作用下各点发生应变, 忽略剪应力和角应变, 在直角坐标系中, 正应力可表示为[δ x δ y δ z ] , 其中δx 、δy 分别表示x 和y 轴所受的横向应力,δ z 表示PCF 轴向即z 方向受到的应力; 正应变量可表示为[ εx εy ε z ] , 其中εx 、εy 表示PCF 横向应变,εz 表示PCF 轴向应变。设PCF 传感器中敏感元件PCF 所处的外界压力场的压力为f , PCF 纤芯直径为d, 敏感元件PCF的长度为L , 外部压力作用于敏感元件PCF 的示意图如图1所示。

图1 外部压力作用于敏感元件PCF 的示意图
根据弹性力学理论, 在外界压力作用下, PCF纤芯的3 个方向均会产生应力, 其应力可表示为:

根据弹光理论, PCF 中某点的应力与产生的应变满足以下关系式:

式中, Ci, j 是PCF 的弹性系数。根据弹性力学理论可以证明C11 = C22 = C33 , C12 = C13 = C21 = C23 = C31= C32 , 则在外界压力作用下PCF 中产生的应变与静压力在PCF 中形成的应力之间的关系如下:

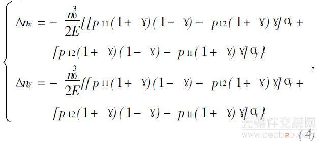
在应力作用下PCF 的光学特性会发生改变, 并导致PCF 纤芯有效折射率发生改变, 根据弹光理论, 这个改变量可表示如下:

式中, n0 为纤芯未受压力时的折射率; E 为杨氏模量;γ 为硅光纤泊松比; p 11、p 12 均为PCF 弹光系数。
PCF 的物理参数取值如下: n0 = 1. 47,γ = 0. 17,E = 7. 3 1010 Pa, p 11 = 0. 113, p 12 = 0. 252, 则可根据式( 1) 和式( 4) 计算特定压力作用下PCF 纤芯有效折射率的改变量。
在PCF 压力传感器系统中, 敏感元件采用折射率引导型PCF, 根据光波导理论, 光脉冲在PCF 中传播距离L 后的相位延迟量为:

式中, L 为PCF 的长度; n为纤芯折射率分布; 为光波在光纤中的传播波长。在外界压力作用下, PCF中会产生应力, 由于应力作用, PCF 的长度、横截面结构及折射率分布将出现波动, 并引起相位延迟的波动, 可以在PCF 传感器输出端采用特殊的装置检测出这种改变, 并进一步检测出外界环境压力的改变, 这就是PCF 压力传感器的基本原理。
2 PCF 压力传感器系统组成及稳定性分析
根据PCF 压力传感器的基本原理, 我们提出如图2 所示的系统模型。图中, ( a) 为传感器整个系统; ( b) 为传感器的敏感元件, 它由导入光纤L1、传感元件L2 和导出光纤L3 组成; ( c) 为PCF 压力传感器的信号探测系统, 它由若干探测信道组成, 每个探测信道包括分束器、延迟板、分析仪和光电探测器; ( d) 为信号处理单元, 它主要由放大电路、滤波器、模/ 数( A/ D) 转换器及计算机系统组成。PCF压力传感器系统的光源可采用Nd3+ : YAG 固体激光器或光纤激光器, 其发出的激光信号经过耦合器进入传感器敏感元件PCF, PCF 压力传感器输出的光信号经过光电探测系统转换为电信号, 电信号经放大滤波后由计算机检测处理。

图2 PCF 压力传感器系统模型
对式( 5) 进行微分, PCF 压力传感器激光光源发出的光脉冲经过敏感元件后其相位波动可表示为:

式( 6) 表明, 对传感器传播光脉冲相位产生影响的主要因素有激光光源波长的波动、敏感元件PCF 折射率和长度的波动。如果在PCF 压力传感器系统中存在压力以外的其他因素引起传播脉冲相位波动, 则这些因素会对整个传感器系统的稳定性造成影响。下面主要从传感器激光光源和环境温度两个方面进行理论分析。
2. 1激光光源影响
对于固体激光器或光纤激光器光源, 其输出脉冲都有一定的光谱范围, 都会在中心波长附近波动,这个波长波动会导致脉冲相位差的波动, 根据式( 6) , 这个波动可表示为:

式( 7) 表明, PCF 压力传感器系统光源波长的波动会影响传感器对外界压力的测量, 使传感器的测量值具有不稳定性。在PCF 压力传感器探测信道中,由传感器部分引入的光脉冲光程差可以被石英板引入的光程差补偿时, 在探测信道才能检测出光信号强度的明显变化, 则传感器探测信道记录的强度可表示为:

式中, I 0 为探测器监测到的平均强度; γ是与光源光谱相关的函数; △Os 为传感器系统引入的光程差;△Or 为石英延迟板补偿的光程差; △φs 为传感器系统引入的相位漂移量;△φ r 为由石英板在连续信道中引入的相位漂移;△Os - △Or 表示解码系统光程差非平衡量; △φs - △φr 表示解码系统相位漂移非平衡值。式( 8) 表明, PCF 压力传感器输出信号与激光器光源的光谱宽度有关, 受??函数影响, 激光器光源的光谱形状影响PCF 压力传感器信号测量的稳定性。
在PCF 压力传感器中, 光源光强的起伏会直接影响测量信号的大小, 激光器光源输出脉冲功率的波动会引起探测信道输出信号的相位波动, 必然带来探测信道输出电信号的波动, 这样也会影响到PCF 压力传感器系统的稳定性和测量精度。例如对于系统3 个不同探测信道, I 1、I 2 和I 3 是3 个信道光电探测器输出电信号强度, 则解调后信号光相位波动可表示为:

式中,a 2、a3 分别是I 2、I 3 两个信道相对于第1 个信道I 1 的比值。式( 9) 表明, 探测系统输出信号强度的波动对传感器系统的稳定性也有重要影响。
2. 2 环境温度影响
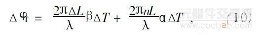
如果PCF 压力传感器所处的外界环境温度发生变化, 也会造成PCF 中传播的光脉冲相位的改变, 这种相位波动会使PCF 压力传感器不能精确检测外界压力, 对传感器的稳定性造成有害影响。温度造成PCF 中传播的光脉冲相位波动主要有两个方面: 热致伸缩效应和热光效应, 可表示为:

式中,β = dL / dT 是PCF 的热膨胀系数; a= dn/ dT是PCF 的热光系数;△ T 表示环境温度改变量。假设光脉冲在1 064 nm 波长附近,a = 1. 19 10- 5 K- 1,= 0. 55 10- 6 K- 1 , 取PCF 长度L = 1 m,△ L =1 mm , n = 1. 450 2 , △T = 0. 1 K 。根据式( 10) 可得到温度所造成的相位波动量为△φ= 3. 24。结果表明, 环境温度的改变对PCF 压力传感器系统的性能稳定性的影响是非常大的。
3 结束语
PCF 传感元件及其压力传感器具有优异的传感性能, 在智能材料结构领域具有广阔的应用前景。
传感器的稳定性是PCF 压力传感器的关键, 对其实际应用有重要影响。提高PCF 压力传感器工作环境温度的恒定性, 增强传感器工作激光光源波长输出功率的稳定性, 都有助于实现PCF 压力传感器的性能稳定。在PCF 压力传感器系统中, PCF 传感元件是核心部件, 其稳定性和可靠性在很大程度上决定了整个传感器的稳定性和可靠性, 而构成PCF 压力传感器的所有材料, 如耦合器、光电探测器和放大电路等均应有较好的光学、电学和力学长期稳定性,且温度系数必须相匹配, 以使整个系统处于线性工作范围内。