摘要:数模转换器的核心是一个精密R-2R梯形网络,根据电路理论灵活运用DAC 中的梯形网络,可以用DAC实现新的功能。给出了灵活运用DAC梯形网络的两种方法
1 概述
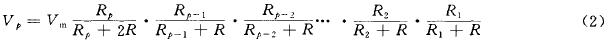
R-2R梯形网络的DAC是最为常见的一种数模转换器件,它的基本使用方法如图1所示。

图1 DAC的使用方法
倒置R-2R梯形网络的DAC是由如图2的一个倒置R-2R梯形网络和由数码控制的单刀双置开关组成的。当像图1那样在梯形网络之后级联一个运算放大器,数码控制的单刀双置开关在两个位置切换时不论那一边的电位都是0。因此倒置R-2R梯形网络的VREF端到地的电阻总是R,第i个单刀双置开关上的电流为VREF/(2iR)经过运放后这个单刀双置开关可以控制电压为-VREF/2i (Rfb=R时)。

图2 倒置R-2R梯形网络的组成
2 反向使用DAC实现转换模拟电压的直接输出
从图1中可以看到,DAC最常见的使用方法是用电流作为转换途径的,这样在DAC之后必须接一个运放将电流转化为电压才可以使用。而如果如图3所示将DAC0832反过来使用,从两个电流输出端输入电压,即可直接从基准电压输入点直接得到转换电压,而无须再加一级运放。从参考电压端得到的电压为VREF×D/2n(D为数字输入的值,n为DAC的位数),现证明之。

图3反向使用DAC
当有一个或多个数码控制的双置开关放到“1”的位置时,它们与IOUT1连通即和高电平(Vin即Iout1端的电平)连通。根据线性电路的叠
加定理VREF端的电压等于各个与高电平联通的点分别与高电平联通时VREF上的电压之和。这个命题等价于当第p个开关放到“1”的位置时参考电压脚输出的电平Vp=2-p×Vin即可。当第P个开关(任意)与高电平联通时电路如图4所示。

图4当某个开关与高电平联通时的电路
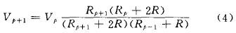
用数学归纳法证明之,假设上述命题成立。当最高位(MSB)与高电平接通时显然最高位的右边仍是一个梯形网络,电阻为2R,故输出电压为2-1×Vin,满足假设。当第P与高电平接通时,如图4设梯形网络中阻值为R的各个电阻之间的点为1,2,……,n,n-1这些以左的电阻对地的阻值为R1,R2,……,Rn。则可以得到Ri与Ri+1之间的递推关系是:Ri+1等于(Ri+R)并联上2R,即:

被接到高电平的电阻右边的网络阻值始终是2R,故总可以把它简化为一个阻值为2R的电阻则:

根据归纳假设,当第p个电阻被接到Vin时,输出电压为:
Vp=2-p×Vin(3)
第p+1个电阻被接到Vin时,由式(2)得到Vp+1,再将式(2)代入Vp+1。得:

将式(3)代入式(4)化简后有:
Vp+1=2-p+1Vin(4)
即证明归纳假设成立。
综上所述,当如图2那样使用DAC时,从VREF脚得到的是和数字输入成线性关系的电压直接输出。这样的连接方法有以下特点:
(1)VREF输出的是一个电压值,后级不需接运放,但是这个电路输出电阻很大,当对输出电阻有要求时,可以在后面加上一个同相放大或跟随器作为缓冲。
(2)为这种接法有两个输入端且与地是隔离的,所以这种接法不要求DA变换模拟量,边界必须有一个是0, 即可以在任意指定DA变换模拟正电压的范围,图5是一种使用8位DAC0832实现的从正电压Vmax到Vmin数模转化的电路。

图5 8位DAC0832示例
(3)一般DAC带有从电流输出脚和VREF之间的二极管, 所以这种接法不能进行负电压值的DA变化, 即IOUT1,IOUT2端不能接负电压。
3 DAC用做分流电阻网络
根据倒置R-2R 梯形网络的DAC的基本原理,如果两个电流输出端的电势相等(例如图1那样后级接了运算放大器的两个输入端)则从i个单刀双置开关流过的电流为从参考电压端输入的电流的2-i倍,且从VREF到两个输出端电阻为R。因此当两个电流输出端的电势相等时倒置R-2R梯形网络的DAC可以简化为图6的二端口网络。

图6 两端口网络
从图7看出DAC可以是一个数码程控的分流器。这样可以把图1考虑成一个程控增益的放大器,VREF脚输入被放大信号,放大倍数为-(D×Rfb)/(2n×R)(D是数字输入值)。图7是使用倒置R-2R 梯形网络的DAC(AD7541)作分流器实现的一种数字程控滤波器。
它由DAC和两个高精度的运放实现。U1和电阻R1~R4构成差分输入的电压控制电流源,经DAC分流后,最后是由运放U2和电容构成的倒向积分器。这样构成了传递函数为H(s)=1/(1+τS),转折频率为1/τ的一阶低通滤波器,其中τ= R2C× 2n/D 。即实现了由DAC数字端程控的高精度低通滤波器。
如果将电路略加改造用一个运放将输入信号和低通信号相减(如图7所示)可得到一个高精度的高通滤波器。

图7 由DAC组成的数字程控滤波器
4 结论
梯形网络的DAC本质上是一个阻值精确的R-2R梯形网络,利用梯形网络的性质可以非常灵活的使用梯形网络的DAC,在工程实际中可以收到意想不到的效果,例如本文前述部分提到的方法在实践中体现出了很高的使用价值。