引言
目前的有源电力滤波器通常是采用基于瞬时无功功率理论的谐波电流检测方法。其中的ip-iq算法需要用到与电网电压同步的正余弦信号,即与电网电压同频同相的标准正余弦信号。该信号的获取可以采用锁相环加正余弦函数发生器的方法,也可采用软件查表的方法。本设计采用全硬件电路完成,即通过锁相环加正弦函数发生器的方法,可自动实时跟踪电网电压的频率和相位,不占用微处理器的软、硬件资源,大大降低了谐波检测算法编程的复杂度。
电路原理
此电路从原理上可分成电网电压取样、正弦波/方波转换、鉴相、低通滤波、电平转换和正弦波产生几个部分。其基本原理是利用电压互感器对电网电压进行取样,然后经过过零比较器,得到一个与电网电压同步的方波信号,作为鉴相器(PD)的一个输入。鉴相器、低通滤波和函数发生器ICL8038组成一个锁相环(PLL)电路。当环路锁定时,输出正弦波与电网电压同步,即同频同相,在时间上应该几乎没有延迟。原理结构图如图1所示。

图1 与电网电压同步的正弦波发生电路原理结构图
正弦波/方波转换电路
利用电压互感器对电网电压进行取样,然后经过过零比较器,得到一个与电网电压同步的方波信号。电路如图2所示。

图2 正弦波/方波转换电路
鉴相与低通滤波电路
本设计中的鉴相器使用CD4046的PD1。PD1由异或门构成,要求输入波形的占空比基本上是50%。与PD2(上升沿触发工作)相比较,由于PD1是电平触发工作,输入波形中即时叠加有噪声,对PLL稳定工作的影响也较小,具有较强的抗噪声能力。电阻R4和电容C1构成低通滤波器。电路如图3所示。

图3 鉴相和低通滤波电路
电平转换电路
由于函数发生器ICL8038要求输入的控制电压信号必须在1/3V+~V+之间,即4V~12V之间。而PD1的输出是在-12V~+12V之间,所以必须做电平转换,使电路能很好地捕捉到输入控制信号。电路如图4所示。

图4 电平转换电路
正弦波产生电路
函数发生器ICL8038通过连接少量的外部元件就能够产生高精度的方波、正弦波、锯齿波等波形。为减小正弦波失真度,通过ICL8038的正弦波失真度调整脚1和脚12组成桥式电路,使失真度减小到0.1%左右。引脚2即输出正弦波。方波输出脚9接一个上拉电阻到V+,使得输出的方波电平在±12V之间。输出的方波经电平转换作为PD1的另一个输入。由于ICL8038输出的方波和正弦波之间有90°的相差,当环路锁定时,正好满足PD1输入输出波形占空比为50%的要求。电路如图5所示。

图5 正弦波发生电路
低通滤波器R4和C1的参数设计
R4和C1对环路捕捉性能及工作稳定性有很大的影响。若取较大的时间常数R4×C1, 则会使环路跟踪变化较快的输入频率时产生过度的延迟;若取较小的时间常数R4×C1, 则会使环路跟踪快速变化的输入信号时, 引起锁相环输出频率的反常变化。综合考虑环路捕捉性能及工作稳定性, 选择R4=100KW, C1=2.2mF。
ICL8038外接元件R9、R10和C2的参数设计
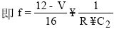
为使ICL8038输出的正弦波和方波占空比为50%,取R9=R10=R。输出频率的计算公式为:

V为引脚8处的控制信号电压。输出的正弦波信号频率应该在50Hz左右,当环路锁定时V应该在9V左右,所以

实验结果
与电网电压同步的正弦波发生电路的试验结果,当输入电压为220V/50Hz,输出同步的50Hz正弦波。实验结果与理论分析一致。
结语
本文中设计电路能产生与电网电压同步的标准正弦波,具有低失真、简单实用、价格低廉的优点。并由全硬件完成,不占用微处理器的软、硬件资源,大大降低了编程的复杂度,可用作基于瞬时无功功率理论和自适应滤波的谐波检测算法中的参考信号。
