引言
随着计算机和通信系统总线速度的显著提高,特别是各种不同的采用内嵌时钟技术的高速串行总线日益普及,定时抖动已经成为影响其性能的基本因素;而DVD普遍于国内外伴随的品质控制-抖动问题又成为厂商与用户关注的焦点.如何面对关系到系统成败关键的这二个领域的具有共性的抖动测量技术与方法是我们应研讨重点方案。值此将所采的不同的新型和实用之测量技术作分折介绍。
1、作为新标准的DVD抖动测量方法
1.1使用数字时间取样和处理技术(TIA)的方法测量抖动
使用数字处理方法读取抖动值。抖动测量设备, 例如型号LEl875(S1版)和LEl870(抖动测量设备)使用数字处理方法(即使用和TIA相同的处理方法)以读取抖动值。
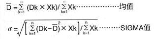
由于抖动基本上是一种随机现象,源于光碟、光头和驱动器的特性,因此,根据测量的数据,利用统计的方法计算累积的结果,便能够以SIGMA(西格码)形式显示出标准偏差的条带图,见图1所示。

该条带图是由表示抖动时间(周期)的水平轴和表示频率分布的垂直轴所构成的抖动图。
由于抖动可以被视为一种标准偏差(即是说,数据按时间分布的偏差),因此可以通过以下的公式获得:其中Dn:时间数据 Xn:为频率分布。

1.2、测量DVD的抖动有以下两种方法:
有All抖动测量方法-按照DVD标准规格与3T抖动测量方法-测量数据信号的脉冲宽度两种方法。
*All-T抖动测量
这种方法也叫做“DATA to CLOCK-数据到时钟”测量法。DVD光碟上所记录的8-16调制的脉冲串(即从3T到11T、14T)。All-T就是测量该脉冲串的全部上升沿、下降沿,并与一个锁相环产生的时钟信号进行比较,见图2所示。
*脉冲宽度Tw测量
这种方法主要用于测量CD的抖动。CD光碟上所记录的,是一种8-14调制(EFM)的脉冲群(即是说,3T到11T)。脉冲宽度测量法就是测量每一脉脉冲宽度的抖动。这种方法亦可以用于测量DVD,见图3所示。
1.3、按照DVD标准规格的测量方法

以下的方框图(见图4所示表示符合DVD只读光碟1.0版规格的信号流程(来自某一光头)。因为,都是按照该DVD规格设计的(例如LEl875和LEl870),所以采用了直接由符合该标准的光头输出的HF信号。其方框图由高通滤波器、均衡器、低通滤波器、限幅器、锁相环等组成,测量方式为全部边沿上的抖动。该电路只用于DVD重放机及其光头检查系统。
1.4、应用举例-抖动分析测量设备
1.41有抑制 和设防功能,特别适合RAM光碟抖动的的LE1875抖动分析测量仪
LE 1875(S1版)是Leader先进的抖动分析测量设备仪,它采用了数字时间取样和处理技术(TIA),配合一个全彩色LCD显示屏,可以提供快速、全面和精确的分析,便于研制、生产、品质控制部门对DVD、DVD-RAM、CD、CD-R/RW进行跟踪检测。如果选用可变均衡器,更便于通过直接的信号检测输入进行测试。
特征:适用于RAM光碟的抖动测试的功能;以信号输入模式的脉冲宽度对DVD的抖动进行测量;输入放大器的可选带通滤波器,适用于待测抖动成分的时间分析和校正。
*时距分析仪(TIA)可以处理DVD、DVD—RAM、CD和CD—R/RW;条带图彩色LCD显示屏可以清晰地显示出抖动、历程、RF数据幅度、均值Sigma(西格码)读数和时钟;可测抖动从3T至11T和14T;抖动读数以百分率(%)时钟频率和Sigma显示;可测量在上升沿、下降沿以及两种数据边缘;可响应双倍速度;长时间测量Sigma和平均值读数对时间的变化;高灵敏度-读数可精确到在50mV或更高;可选50Ω/10MΩ/输入阻抗使得可以使用10:1的探头,以减少电路的负载;合格/不合格判断预设输入;容易设定和储存;自动限幅器符合DVD规格;出现跳隙等故障时,可设定延迟时间,抑制输入,暂时中止测试;为RS-232C标准。
1.42 TIA高速、高精度抖动测量的LE 1870抖动分析仪
设计LE 1870抖动仪的目的是为了测量符合DVD规格的DVD EFM PLUS时钟信号的抖动。此仪器可对CD和DVD信号进行3T窄脉冲信号抖动进行测量。LE 1870采用TIA数字处理方法,实现了高速、高精度抖动测量。较大的刻度盘和数字显示使LE 1870特别适合于研制工作,生产部门和检查部门。配合选件,此仪器还可对CD-R/RW进行双相位信号抖动测量,故拥有LE 1870,便可测量DVD,CD,CD-R/RW。
特征
*DVD测量;利用数字工作系统进行高速和准确的测量,LE 1870采用TIA同样的数字处理系统,提供更高速和更准确的测量;LE 1870可测量数据信号中的3T至11T和14T抖动,并以sigma的形式显示,同时亦可进行3T窄脉冲的抖动测量;抖动值以%和SIGMA的形式显示,抖动值的显示可以选择以对应CLOCK信号的百分比计算单位,亦可以选择SIGMA的形式绝对值表示抖动。用百分比显示时,仪器的自动操作电路可以使精确度达到数据信号波动的10%内;抖动测量有三种极性,即抖动的测量可以在数据信号的上升沿、下降沿以及两个边沿上进行,测量模式有signal-signal测量和two-signal测量两种;响应速度可达到两倍,可以测量RF(数据)信号和再生的CLOCK信号之间的抖动,并以SIGMA值显示。
*一般功能
高灵敏的测量,可测数据信号的振幅可以超过50mVp-p;输入阻抗可以任意选择50Ω或者1MΩ;同时测量抖动和RF信号电平,数据信号的峰值电平(p-p)由数字显示;模拟显示易于调节,数字显示减少视差,LE1870兼有大型的模拟显示刻度盘和较大的发光二极管数字显示。抖动测量的结果既可以选择模拟显示,亦可以选择数字显示;测量抑制,配备插座。当光碟重放发生类似弹跳的故障时,这种输入控制功能抑制抖动的测量;各种监视器输出,具有数据信号监视器的功能,其直流输出与抖动、电平指示成正比;内置自动限幅功能,内置的自动限幅功能符合DVD规格。
*生产线上的应用
合格/不合格判断功能方便在线测量,合格/不合格判断功能是在对比设定值和测量值的基础上建立,利用LED指示并被输出;遥控功能,抖动测量和其他面板功能可以遥控实现。
*其余用途
可以测量CD-R/RW的每一抖动,最高可达*32倍速度;对于CD-R/RW,可以测量双相位信号的1T抖动;符合DVD标准规格的均衡器,进行精确的测量通过选购的RF均衡器可以直接检测生产线上发射的待测信号。
2、高速串行总线抖动测量技术
2.1问题的引来
越来越多的高速计算机和通信系统开始采用高速串行总线在芯片间,背板间和系统设备间传送高速数据。在数据传输过程中,任何微小的高速时钟和数据抖动都会对整个系统产生巨大的影响,在这种情况下,抖动已经成为设计高速数字系统成败的关键。最典型的是传统的33M PCI并行总线正在被采用高速串行技术的PCI-Express取代,而它的最新标准支持的数据率已经到5Gb/S,一个U1的宽度仅200ps,任何微小的抖动都会导致数据传输错误.从当前各种高速串行总线和数据链路的定时余量规范中表明,在数字系统中严格地控制抖动是必须的。只有全面有效的测试和分析抖动,其根本原因才能被隔离,从而针对引起系统抖动的原因来减少抖动,提高系统性能和稳定性。如PCI-Express、FBD、InfiniBand、SerialATA和DVI等高速总线都对于时钟,数据抖动有明确要求。
2.2示波器进行的实时抖动测试方法不失为实用可靠之方法。
针对高速串行总线抖动可用示波器进行的实时抖动测试方法并探讨影响抖动测试结果的关键因素。
2.21典型的抖动测试方法
*在了解抖动测试前,明智选择合适的抖动测试工具和方法成为整个抖动测试工作的首先。
为成功地设计高速数字系统,不仅需要理解什么是抖动,计算抖动的大小,还需要对不同的抖动分量进行隔离和分解,分析造成抖动的原因,进而避免在高速系统中出现抖动造成的系统故障。在了解抖动测试前,首先必须选择合适的抖动测试工具和方法。
2.22高性能数字示波器配备高速采集内存成为最流行的抖动测试工具。
这是因为目前有几种抖动测试工具可供选择,误码仪(BERT)直接测试系统的误码率,但是价位昂贵,功能单一,并不适合设计人员和调试人员;采用时间间隔分析仪测试抖动也存在功能单一,抖动分析能力不足的限制。
对于数字示波器而言,典型的抖动测试方法主要有2种:
*即采用数字存储示波器的等效采样模式或直接使用采样示波器,通过直方图统计测量累计定时抖动.等效采样的缺点是无法消除示波器自身的触发抖动对测试结果的影响,并且由于它采用的是多次触发,多次采集,累计显示的工作方式,对于电路设计和调试而言受到较多的限制,无法进行深层的抖动分析。另一个限制是该方法抖动测试参数有限,例如不能测试周期间抖动。
*更为流行的方法是采用数字存储示波器的实时捕获模式,单次.分析和抖动分解得到每一个抖动分量,帮助设计和测试人员分析抖动产生的原因,甚至通过抖动分解估算系统的误码率。例如,在有关抖动和信号完整性方法论用泰克实时示波器配合TDSJIT3抖动分析软件进行抖动测试和分析。图5是TDSJIT3实时抖动测试结果。

2.3抖动测试
抖动可以描述为相邻脉:中边沿、甚至非相邻脉;中边沿周期或相位的定时变化。这些指标适合检定长期和短期的时钟和数据稳定性。通过更加深入地分析抖动指标,利用抖动测试结果,预测复杂系统的数据传输性能。
周期抖动用来衡量时钟或数据周期样点的边沿到边沿定时。例如,通过测量1000个时钟周期上升沿之间的时间,可以对统计的周期取样,统计数据会告诉您信号的质量。标准偏差等价于日MS周期抖动,最大周期减去最小周期,得到峰到峰周期抖动。每个不同周期测量的精度决定着抖动测量的精度。
相位抖动用来衡量被测信号边沿相对于一个参考信号边沿的时间偏差,从而可以检测到信号相位中的任何变化。这一指标在许多方面不同于周期测量指标。第一,它单独使用每个边沿,而没有使用“period”周期测量,它可以测量大的时间位移。边沿相位可以偏离几百或几千度,但仍可以以非常高的精度进行测量 (360度等于一个周期或循环时间)。测量相位误差常用的指标是时间间隔误差(TIE),测量结果用相对于度的秒来表示。TIE把信号边沿与参考边沿匹配起来,对各边沿之差相加计算总和。在比较了大量的边沿之后,可以为分析提供一个样点集合。与上面的周期测量一样,标准偏差变成日MST TIE,最大时间减最小时间得到峰到峰值(peak-to-peak)TIE等等。TIE测试精度取决于构成样点集合的各个测量的精度。图6显示的是对一个时钟信号的不同抖动测试参数。
2.4测试精度
任何设计人员选择示波器进行参数测量前都会通过产品的指标了解其测试精度,以保证足够的容许误差和测量余量,抖动测试也不例外。抖动测试精度受到许多因素的影响,主要包括示波器的定时稳定度、取样噪声、仪器幅度本底噪声和内插误差。
插误差是由在实际电压样点之间进行线性内插导致的误差。在测量100ps上升时间的信号、示波器以20GSa/s采样率在50%电压门限上进行检测时,这一误差要小于0.3ps RMS。在许多情况下这一误差可以使用示波器中的Sin(X)/X正弦内插及其它方法改善,例如充分利用示波器的垂直动态范围,使输入信号幅度达到示波器满刻度。在大多数情况下,这一原因导致的误差会远小于其它误差源,并且通过使用如Sin(X)/X内插,可以进一步减小这一误差。
示波器采样系统中定时元件的稳定性直接影响着定时测量精度。如果时基有误差,那么基于该时基进行的测量会具有同等或更大的误差。示波器中的时基稳定性包括参考时钟、倍频器、计数器等相关电路的稳定性。
3、结束语
上述针对当前DVD与高速串行总线二种不同领域的抖动测试技术与和方法及测试实例作重点介绍。这仅是基本理念,具体如何测量与分析要根据不同的应用场合与精度来选定与运作。
