本文介绍应用于仪器和设备测试的高精度宽频率功率信号源的设计。传统的功率信号源一般采用线性电源或模拟控制的功率开关变换电源。随着高性能DSP控制器的出现,使采用数字化控制的功率开关变换电源作为功率信号源成为可能,这有利于提高系统的集成化水平和控制功能。本文介绍的功率信号源采用工作频率为150MHz的DSP TMS320F2812控制。并且采用DC/DC和DC/AC两级联合调节实现。
1 系统的整体结构
本文介绍的功率信号源可提供输出电压从2~100V可变,频牢从20~l000Hz可变,并且可以在50Hz基频的情况下叠加基波幅值0~30%的直流分量与2~9次的各次谐波分量。输出电压幅值最小可调步长和分辨率为O.1V,输出电压频率最小可调步长和分辨率在20~100Hz时为O.1 Hz,在100~l 000Hz时,为1Hz。在额定工作条件下,在2~100V范围内,应能连续输出0.5A的电流,即最大输出50VA的功率。
为了满足系统的高精度及输出电压和频率均可变的要求,系统框图如图l所示,整个系统由AC/DC、DC/DC和DC/AC三部分组成。由于对输出功率的要求比较小,所以采用了反激式直流变换电路。DC/AC级采用全桥逆变电路。整个系统的控制是基于TT公司的DSP TMS320F2812。DC/DC环节采用INFINEON公司的ICES2AS01控制,其给定信号Vnf由DSP根据控制要求产生,从而获得可调的直流电压Vdc。CC/AC环节由DSP直接进行PWM控制,从而产生所需的功率信号波形。

DSP TMS320F2812的几个特点:
(1)速度方面 TMS320F2812最高工作频率为150MHz(30MHz的品振经过倍频而得到);
(2)AD精度 TMS320F2812的AD采样精度可以达到12位:
(3)运算方面 TMS320C2812是32位的定点DSP,可以方便地运行32位与32位的乘法,能满足高精度与快速计算的要求。
2 控制方案及参数设计
2.1 逆变器建模与控制方案设计
单相全桥逆变器及其双环控制的结构框图如图2所不,Vdc为输入直流电压,S1~S4是功率MOSFET管.L为输出滤波电感,C为输出滤波电容。其控制环节采用电压外环电流内环的双环PID控制。采用输出电压与给定电压进行比较得到误差电压,误差电压经过PI环后成为电流环的给定,与电流采样值再进行比较.再经过P环节,蛀后由DSP的PWM环节产生控制信号。由于电感电流等于电容电流和负载电流之和,其中电容电流为输出电压的微分,对电感电流进行控制相当于使系统能超前对输出电压进行控制,因此能得到更好的动态性能。另外电感电流包含了负载电流,所以又可以对负载起到限流作用。

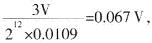
逆变器输出电压的采样为差分采样模式,电感电流采样采用电流霍尔器件。电压采样系数为0.0109,则采样精度为
小于0.lV,(其中,3V是DSP采样的最大电压值)满足系统要求。
根据逆变器的结构框图可以得到逆变器系统的控制框图,如图3所示。其中,
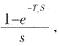
是电压环PI调节的传递函数;K1为电流环P调节参数;Km为PWM环节的有效增益;K1为内环电流环的增益;K2为电压外环的增益;HSH(S)为零阶保持环节,为
由于开关频率fs较高,即Ts较小,所以近似为

2.1.1 电流内环的参数设计
为了达到较高的精度,在程序设计时将采样值做Q18的变化,(在DSP里只能进行定点数的计算,Q18是把浮点数转换为定点数的一个过程)即在原来的基础上乘以218,在设计参数的时候应该考虑该系数。内环电流环的增益为K1=(1/6)×218=43691,交越频率取1/5的开关频率,取开关频率为100kHz,Vdc取200V计算,则

2.1.2 电压外环的参数设计
同样的,外环电压环的增益为K2=O.0109×218=2857;
取Kvp=O.1,Kvi=3140,即取PI环节补偿频率为5kHz。取开关频率为100kHz。其离散波特图如图4所示。从图4中可得,系统相位裕量为60°,满足稳定性要求。

2.2 DC/DC级控制给定设计
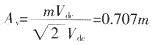
本文采用DC/DC和DC/AC两级联合凋节,以达到功率信号源的高精度要求。DC/AC级采用双极性的逆变器凋压方式,幅度调制比为m=Usm/Ucm
式中:Usm为正弦调制波的幅值;
Ucm为三角载波的幅值。
在双极极性SPWM调压方法中,逆变桥的直流母线电压的利用率为
在深度调制,即m值较小的情况下,uc和u8的交点贴近横轴,输出电压每个载波周期的宽度近于相等,即接近于方波,其输出谐波的幅值较高,会影响输出电压的精度,所以,m值越高越好。同时,为避免由于PWM控制脉波过窄和死区等因素使PWM脉波丢失,m值不宜取的太高。一般情况m取O.9。
当m一定时,根据该式和所要求的功率信号输出电压值可计算出DC/AC级的输入电压值,并由此给出DC/DC级输出电压的给定值。由于在基频50Hz的情况下,有时需要叠加0~30%的直流分量或者与2~9次的各次谐波,所以输出电压幅值作为参考。在不需要叠加的时候,当输出电压Vo已给定,则输出电压幅值Vom也相应给定,输入电压由公式
确定,取m=0.9,则
在叠加直流分量与谐波的时候,当输出基频的电压幅值与所叠加的直流分量或谐波的次数与幅值都给定后,则得到一个输出电压的幅值Vom,考虑功率MOSFET的通态压降等因索,输入电压给予一定的裕量,对上述公式进行一定的修正:
考虑输出电压的稳定性,设置了一个Vdc的最小值,即当Vom>8V(这里的Vom包括不叠加的与叠加后的)时,Vdc=Vom/0.8,而当Vom

在DSP里,逆变器输出电压的给定值是以一个单位正弦表(Q15)乘以一个给定值(Q10)的形式给出的,最终与逆变器输出电压的采样值比较的数是一个Q25的数(即单位正弦表里的数乘以系数225).所以输出电压最小可调步长为
满足系统要求。
当输出频率改变时则调用变频子程序。由于输出电压频率从20"1000Hz可变,为了达到一定的精度要求,希望开关管的开关频率尽量高,在这里,采取分段的方式来进行设置,如图6所示。

采取分段方式设置开关频率的目的是为了在整个频率范围内都有一个较高的开关频率,以提高精度并易于输出滤波。表l中给出了不同频率范围段的相位精度及最小可调步长。在20~100Hz情况下,最小可调步长小于O.1 Hz满足系统要求,在100Hz以上最小可调步长小于1 Hz也满足系统要求。这样,保证了在输出电压频率范围变化较大的情况下,开关频率的变化范围大概从60"126kHz,取L=1mH,C=0.47μF,截止频率约为73kHz,对上述开关频率的范围都可以达到较好的滤波效果。
3 实验结果
实验结果如图7"图12所示。


4 结语
本文提出了变频调压功率信号源的设计方案.通过TMS320F2812对DC/DC和DC/AC两级联合调节,实现了高精度的宽范围变频调压交流电源。
