1、概述
热固化聚合物由于其独有的特性而被广泛地应用作电子封装材料。然而,它的机械特性受环境的影响很大。水分扩散到聚合物中,由于柔性化的作用、蜕变使机械性能降低,从而导致可靠性问题。湿热导致的失效一直是困扰封装可靠性的问题,而且越来越受到广泛的关注。
众所周知,水分会使环氧树脂变得柔性化,其中一个现象就是降低玻璃体化温度和使材料变软。然而,产生柔性化的机理尚不清楚,研究人员一直有争论。因为水分对环氧树脂基材料有很大的影响,研究人员在此方面作了很多的研究,如结构材料、电子材料和电子封装材料。
本文对环氧树脂材料EPN1180和填加了二氧化硅微粒封装材料的吸湿特性和水分引起的膨胀特性进行了研究。
2、材料与试样的制备
2.1 材料
本实验采用IC封装使用的环氧树脂(EPN1180 from Huntsman Advanced Materials), 交联反应固化剂为Bisphenol-A(Sigma-Aldrich Co.Ltd), 催化剂为(triphenyl phosphate, Fluke Chemika)。
2.2 试样的制备
在165℃下把固化剂Bisphenol-A添加到一半的熔融状态的EPN1180环氧树脂中,催化剂4克在90?C融入另一半100克的环氧树脂中。把上两种混合好的材料在90?C下再混合到一起,搅拌5分钟,然后倒入涂了脱模蜡的、并预热到90?C的模具中,然后依照相应程序固化。试样的尺寸为30×8×1mm3。
添加了二氧化硅微粒的试样制作。是在以上的混合后的材料中再加入40%、50%、65%重量百分比的二氧化硅微粒,FB-940(ex Danka)平均直径15微米,试样的尺寸为30×8×1mm3。
固化程序:以上试样在注入模具后,在150?C固化8个小时,环氧树脂完全固化。
3、吸潮实验
3.1试样的恒温吸潮
试样的吸潮是在一个台式稳实控制箱(Espec corp. SH-661 温度精度为±0.3?C(-40 to +100?C; 湿度精度为 ±3%RH) 中完成的,温湿控制箱内装有一个风扇以保持温度和湿度的均匀。
在吸潮实验前,110?C下在加热箱中保存24小时,以保证试样完全干燥。然后,把燥后的试样,放入控制好的温度和湿度箱中, 试样分别在85%RH, 85?C; 80%RH, 80?C; 70%RH, 70?C和 60% RH, 60?C下吸湿,吸湿量为时间的函数。用(SBC33 WEDA 电子天平, 精度为0.0001g) 阶段性地称吸湿的试样,直到达到吸湿平衡。然后把试样再加热干燥,称重后,两次干燥后的重量应相同。
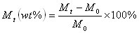
吸潮量由以下公式计算:
Mt和M0分别代表时刻t和干燥后试样的重量。

图1所示为在不同的温度和湿度条件下,试样重量增加百分比与时间开方的函数关系。为表明短时间内试样重量增加的特点,图1也显示了最初阶段的重量增加值,在图中用不同的符号表示了相同温度、湿度条件下试样重量的增加与时间的关系。
在吸湿的最初阶段,重量的增加按Fick’s规律随时间的开方线性增加,经过最初的快速渗透,吸湿继续进行,但增加减缓。经过最初的快速渗透,重量随渗透继续增加的规律符合两阶段的渗透模型。我们假设初始渗透遵循湿度梯度和Fick’s规律,根据Fick’s第二定律,厚度为h的一维板材,其重量的增加在初始阶段有以下公式[1]:

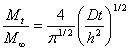
扩散系数由公式(2)从最初的吸湿曲线梯度获得:
在此,D是扩散系数,k是图中Mt/M∞比时间t1/2,h是试样的初始厚度。不同条件下的饱和吸湿量和扩散系数列在表1中。其中,M∞与相对湿度有很大的关联。
既然确定扩散系数D的试样是无限尺寸的板,所以要纠正在四周扩散的影响[19]:

从表1中可以看出不同的温度、湿度对吸湿量有很大的影响,此外当材料中加入了填料量后,吸湿量和扩散系数大大降低。
3.2 吸潮量与填料量的关系
本文研究了各种湿热环境下,两种环氧树脂聚合物的吸湿行为,除此之外还检验了水分对其粘弹性特性的影响。吸湿是在一个可以调节温度和湿度的温湿箱中完成的,不同条件下的扩散系数取决于最初的吸湿过程。得出了吸湿量与填料量之间的预测关系式,吸湿的过程证实两种材料均属于Fickian类扩散。在恒定温度下,水分增加会引起膨胀产生位移,相对湿度越大位移也越大,并确定了EPN1180材料一定温度条件下湿度与位移的关系式。
