中心议题:
片式铁氧体磁珠的工作原理
铁氧体抑制元件的阻抗和插入损耗
铁氧体磁珠的类别
铁氧体磁珠的应用
1. 片式铁氧体磁珠的基本原理
磁珠,实质上虽然是一个电感器,但在功能、作用与组成上也是有它的特点的。电感的基本功能是电路谐振和扼流电抗。主要应用于电源电路、时钟发生电路、射频(RF)和无线通讯、无线遥控系统等场合。磁珠的主要功能是消除存在于线路中的 RF 噪声,扮演着高频电阻(衰减器)的角色,它允许直流信号通过,却能滤除30MHZ以上的高频信号,主要应用于模拟电路和数字电路之间的滤波,I/O(输入/输出)端口电路,射频(RF)电路和易受干扰的逻辑设备之间,电源电路以及需要抑制EMI 等场合。
磁珠的作用主要是在高频率下利用电感成分反射噪声,利用电阻成分把噪音转换成热量,由此起到抑制噪声的作用。使用时,只要直接插入信号线、电源线中就以通过吸收、反射来实现抑制噪声以达到抗EMI 的目的。磁珠有很高的电阻率和磁导率,它等效于电阻和电感串联,但电阻值和电感值都是频率的函数。它比普通的电感有更好的高频滤波特性,在高频时呈现电阻性,所以能在相当宽的频率范围内保持较高的优良特性。而电感主要起着储能、滤波、阻抗、扼流、谐振和变压作用。
磁珠由氧磁体材料作成,电感则由磁心和线圈组成,磁珠把交流信号转化为热能,电感把电流存储起来,缓慢的释放出去。
1.1 铁氧体磁珠的工作原理
铁氧体磁珠是由一种立方晶格结构的亚铁磁性材料作成的磁性元件。这种材料的分子结构为 MO·Fe2O3,其中MO 为金属氧化物,通常是MnO 或ZnO。它的制造工艺和机械性能与陶瓷相似,颜色为灰黑色,常用于电磁干扰滤波器中,这种材料的特点是高频损耗非常大。
用于抗 EMI 的铁氧体材料,磁导率(μ)和饱和磁感应强度(Bs)是两个最重要的磁性参数,而磁导率(μ)的定义是磁通密度随磁场强度的变化率,即 μ=△B/△H。
对于一种磁性材料来说,磁导率不是一个常数,它与磁场的大小、频率的高低有关。当铁氧体受到一个外加磁场(H)作用时,例如当电流流经绕在铁氧体磁环上的线圈时,铁氧体磁环被磁化。随着磁场强度(H)的增加,磁通密度(B)增加。当磁场(H)增加到一定值时,B 值趋于平稳,即达到饱和状态。对于软磁材料,饱和磁场(H)只有十分之几到几个奥斯特。随着饱和的接近,铁氧体的磁导率迅速下降并接近于空气的导磁率(相对磁导率为 1)如图 1 所示。

图1 铁氧体的 B-H 曲线
铁氧体的磁导率可以表示为复数。实数部分μ′代表无功磁导率,它构成磁性材料的电感。虚数部分μ" 代表损耗,如图 2 所示。
μ=μ′- jμ"

图 2 铁氧体的复数磁导率
图 3 是磁导率的频散特性曲线,它可分为Ⅰ-Ⅴ个区域来分析。可见,在一定的频率范围内 μ"""" 值(在某一磁场下的磁导率)保持不变,然后随频率的升高磁导率μ"""" 有一最大值。频率再增加时,μ"""" 迅速下降。代表材料损耗的虚数磁导率 μ" 在低频时数值较小,随着频率增加,材料的损耗(即μ")增加。

图3 磁导率的频散特性曲线
1.2 铁氧体抑制元件的阻抗和插入损耗
实际上磁珠就是用铁氧体材料作成的抑制元件,当它用于交流电路时就是一个有损耗的电感器,它的等效电路可视为由电感 L 和损耗电阻R 组成的串联电路,如图4所示。

图 4 铁氧体抑制元件的等效电路 (a) 和阻抗矢量图 (b)
铁氧体元件的等效阻抗Z 是频率的函数
Z(f)=R(f)+jωL(f)=Kωμ"(f)+jKωμ""""(f)
式中:K是一个常数,与磁芯尺寸和匝数有关,ω为角频率。
损耗电阻 R 和感抗 jωL 都是频率的函数,图5 表示的是以某种磁珠的阻抗、感抗和电阻与频率的关系。在低频端(<10MHZ)阻抗小于10Ω,随着频率的增加,由于电阻分量增加,使阻抗增加,电阻逐渐成为主要部分。在频率超过100MHZ 时,磁珠的阻抗将大于100Ω。这样就构成一个低通滤波器,使高频噪音信号有大的衰减,而对低频有用信号的阻抗可以忽略,不影响电路的正常工作。这种滤波器优于普通纯电抗滤波器。后者会产生谐振,造成新的干扰,而铁氧体磁珠则没有这种现象。

图5 磁珠的阻抗、感抗和电阻与频率的关系
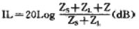
铁氧体抑制元件应用时的等效电路如图6 所示。图中ZS 和ZL 分别为源阻抗和负载阻抗,Z 为铁氧体抑制元件的阻抗。
通常用插入损耗表示抑制元件对EMI 信号的衰减能力。器件的插入损耗越大,表示器件对EMI 噪音抑制能力越强。

图6 铁氧体抑制元件应用电路
插入损耗的定义为

式中:P1、V1 分别为抑制元件接入前,负载上的功率和电压。P2、V2 分别为抑制元件接入后,负载上的功率和电压。
插入损耗和抑制元件的阻抗有如下关系:
由上式可见,在源阻抗和负载阻抗一定时抑制元件的阻抗越大,抑制效果越好。由于抑制元件的阻抗是频率的函数,所以插入损耗也是频率的函数。抑制元件的阻抗包括感抗和电阻部分,两部分对插入损耗都有贡献。在低频时,铁氧体的μ"的值较小,损耗电阻较小,主要是感抗起作用。在高频端,铁氧体的μ""""值开始下降,而μ"值增大,所以损耗起主要作用。低频时,EMI 信号被反射而受到抑制,在高频端,EMI 信号被吸收并转换成热能。
2 片式磁珠的类别
片式磁珠由软磁铁氧体材料组成,具有独石结构。目前磁珠有以下几类:
普通型(通用型)
这是应用最广泛的一类叠层型片式磁珠/电感器, 1608、2012是目前的主流规格,同时还有3216、3225等多个规格。
大电流型(耐大电流型)
普通型磁珠的额定电流只有几百毫安,但在某些应用场合要求额定电流达到几安培;例如:为了消除计算机卡板电源部分及大电流母线部分的噪声,要求磁珠能承受几安培的电流。为此,选择适当的铁氧体材料或者采用低烧结温度电子陶瓷材料,并采取适当的工艺措施,制成了能够承受大电流的叠层型片式磁珠,阻值比较低。
尖峰型
当电子线路中在某频率点存在着强烈的干扰噪声很难消除时,可以在此电子线路中加一个谐振频率恰巧在干扰噪声频点的尖峰型磁珠,从而将这一强烈的干扰噪声完全抑制;不同电子线路、不同用户对谐振频率的数值要求是不相同的。
高频型
各种电子元器件的频率都在提高,辐射的电子干扰的频率往往超过1GHz;如果使用普通型磁珠,那么,三次谐波信号成分将被大量衰减,致使时钟脉冲信号钝化,将会引起误操作。所以要求将磁珠的抑制 EMI 的频率范围提高,如对 500MHz 以下的信号频率成分几乎无衰减通过,而对1GHz 以上的干扰噪声产生大量衰减。
阵列型
磁珠阵列(Chip Beads Array)又称为磁珠排(图7),即在一个0805 或1206 的片式元件内并列 2~4 个片式磁珠。这样就大大缩小了在 PCB 上所占据的面积,有利于高密度组装。

图7 磁珠阵列
3 铁氧体磁珠的应用
铁氧体磁珠(Ferrite Bead)是目前应用发展很快的一种抗干扰元件,廉价、易用,滤除高频噪声效果显著。在应用上,片式铁氧体磁珠大致可分为电源线路用和信号线路用两大类产品。作为用在信号线路中所要求的性能,最重要的是所有信号波形应与抑制噪声措施相互依存和适应。电源线路上使用的产品有低直流电阻和高耐能量型。片式磁珠的外形尺寸系列已符合片式阻容元件的标准,而且性能优良、品种规格齐全,为电路设计者提供了广阔的空间。过去未采用电子产品(如彩电、录像机、电话机等),现在也开始大量采用片式电感器和片式磁珠。现举例如下:
3.1 开关电源尖峰抑制器
开关电源最大的缺点就是容易产生噪声和干扰,这是长期困扰开关电源的一个关键技术问题。开关电源的噪声主要是由开关功率管和开关整流二级管快速变化的高压切换和脉冲短路电流所引起。因此必须采用有效元件把它们限制到最小程度。通常采用非线性饱和电感来抑制反向恢复电流尖峰。根据在开关电源续流二极管上的高磁导率与可饱和性的超小型电感元件—磁珠特性的一致性,开发出用来抑制开关电源开关时产生的峰值电流的尖峰抑制器。这种尖峰抑制器的性能特点是:
(1) 初始和最大电感值很高,饱和后残余电感值非线性极不明显。串联接入回路后,电流升高瞬间显示出高阻抗,可以作为所谓的瞬间阻抗元件使用。
(2) 适用于防止半导体回路中瞬态电流峰值信号、冲击激励电路和由此而伴生的噪声,还可以防止半导体损坏。
(3) 剩余电感极小,电路稳定时损耗很小。
(4) 与铁氧体制品的性能绝然不同。
(5) 只要避免磁饱和,可作为超小型、高电感的电感元件使用。
(6) 可以作为低损耗的高性能可饱和铁芯用于控制和产生振荡。
尖峰抑制器要求铁芯材料具有较高的磁导率,以得到较大的电感量;高矩形比可使铁芯饱和时,电感量应迅速下降到零;矫顽力小、高频损耗低,否则铁芯散热不好而无法正常工作。所以尖峰抑制器的用途主要表现在减小电流尖峰信号;降低由于电流峰值信号引起的噪声;防止开关晶体管的损坏;减低开关晶体管的开关损耗;补偿二极管的恢复特性; 防止高频脉冲电流的冲击等。
3.2 在信号电路中的应用
图8、图9、图10 分别示出了磁珠在直流供电回路、数字电话、抑制 EMI 噪声滤波器中的应用实例。



可见磁珠在抗电磁干扰方面的作用十分重要,应用广泛。
4 结束语
利用铁氧体磁导率的频散特性作成的片式磁珠,是一种既简便又有效的抗电磁干扰的元件与方法,并且具有众多的突出优点,所以在现代电子信息产品中获得了广泛应用。
