虽然输出电压不断下降而稳压要求正变得越来越高,但是您的任务可能并非像其表面上看起来那么困难。即使必须要使用 1% 或更大的容差电阻来进行设计,但您仍然可以得到非常精确的输出电压。
图1显示了一款典型的电源调节电路。输出被分流降压,并与参考电压进行比较。差异被放大,并用于驱动调节环路。乍一看,您可能会认为这一方案仅限于两倍电阻容差精度。幸运的是,实际并非如此;精度还是输出电压与参考电压之比的强函数。

图1 输出精度是分压器比、基准精度和误差放大器补偿的函数
三种不同的情况可以非常容易地说明这一比率。第一种情况是假设一点分压也没有,换句话就是说输出电压等于参考电压。很明显,这种情况下没有电阻分压误差。第二种情况是假设输出电压大大高于参考电压。在这种情况下,R1 大于 R2。分压器误差是电阻容差的两倍,从而得到一个方向变化的 R1 值,以及往另一个方向变化的 R2 值。第三种易于说明的情况是假设输出电压是参考电压的两倍。在这种情况下,额定电阻值相等。因此,如果电阻容差以反方向变化,则分压器方程式顶部随着该容差值变化,而分母变为零。
图2 显示了输出精度,其为参考电压与输出电压对比关系的函数。(详细推导过程请参见附录。)简化之后,分压器精度为 (1 – Vref/Vout)*2*容差,其与我们通过检查得到的三个数据点相关。我们对该方程式进行了一些简化处理,但对大多数电阻容差来说都应该足够精确。

图2 输出精度很直观:(1-Vref/Vout)*2*容差(显示的 1% 电阻)
有趣的是,这样给低压输出带来了更高的精度。许多 IC 参考电压范围为 0.6~1.25 V 之间,输出电压降至这一范围时会带来 1% 或更高的精度。表 1 给出了您可能需要了解的一些信息,这些信息是典型电阻器产品说明书的电阻误差术语汇编。在设计中,该列表会较难理解。大多数工程师都止步于初始容差,然而列表中还有一些或许不应被忽略的误差项。表格中的每一项都有其微妙的影响。例如,没有指定具体的温度系数范围,而实际上两个电阻都可能随温度变化以相同方向变化,并且不会在相反的极端。在对一些经验丰富的设计工程师进行简单调查后,得出的结论是假设 1% 容差电阻的 2.5% 精度可在极端情况和合理成本之间得到一个合理的折中方案。
表1 电阻容差可相加

总之,提供较好的低压输出精度并非是一项令人畏惧的任务,因为低分压器比本身就较为精确。
下个月我们将讨论获得负电压的一种有趣的电源拓扑,敬请期待。
附件
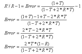
求解计算顶部分压器电阻值,其为分压器比 (R) 的函数:
重写表达式为电阻容差 (T) 的函数:

代入 R1:

顶部和底部乘以 R/R2:

除以 R,然后减去 1,得到误差:

T<<1 时:
