1.标准中的要求
保护接地器在电气设备出现故障或发生短路时,保护用户不会受到危险接触电压的伤害。为确保此基本功能,保护接地线上的电流必须加以限制,这是为什么大多数产品安全标准中包含漏电流测量和限制条款的原因。办公室设备和信息技术设备的产品安全标准EN 60950-1进行了相关说明。
尽管都使用漏电流这个术语进行描述,但是标准在实际上对接触电流和保护导体电流进行了区分。接触电流是人在接触电气装置或设备时,流过人体的所有电流。另一方面,保护导体电流是在设备或装置正常运行时,流过保护接地导体的电流。此电流也称为漏电流。
所有电气设备的设计都必须避免产生危及用户的接触电流和保护导体电流。一般来说,接触电流不得超过3.5 mA,采用下文所述的测量方法进行测量。
3.5 mA的极限值并不适用于所有设备,因此,在标准中,还对配备工业型电源接线器(B型可插拔设备)和保护接地器的设备进行了补充规定。如果保护接地电流不超过输入电流的5%,那么接触电流可以超过3.5 mA。另外,等电位联结导体的最小截面积必须符合EN 60950-1的规定。最后,但不是最不重要的,制造商必须在电气设备上附带下述警告标签之一。
“警告!
强接触电流。先接地。”
“警告!
强漏电流。先接地。”
除了普通的产品安全标准之外,还有关于无源EMI滤波器的安全标准。在欧洲,新颁布了EN 60939,自2006年1月1日起代替了当时现行的EN 133200。然而,此标准没有关于滤波器漏电流的附加要求。美国的EMI滤波器标准,UL 1283,与此不同。不仅需要进行所有常规安全试验,还需要确认滤波器的漏电流。在默认情况下,此漏电流不允许超过0.5 mA。否则,滤波器必须附带一个安全警告,说明滤波器不适用于住宅区。必须提供接地连接器以防触电,另外滤波器必须连接到接地电源引出线或接头上。
漏电流的计算
本节将说明计算漏电流的方法。因为元件存在误差,并且电网(对于3相供电网)的不平衡只能估计,所以实际结果不一定等于测量结果。另一方面,对顺序生产的每一个滤波器都进行漏电流测量是不合理的,所以一般来说,制造商提供的漏电流都是根据计算值。
对于所有的计算,磁性元件的寄生元件及保护接地器的阻抗均忽略不计。计算时只考虑滤波器电容的误差。EMI滤波器电容一般用来抑制差模和共模干扰。对于前者,在相位之间,以及相位和中性导体之间,连接有所谓的X电容。对于共模抑制,相位和接地之间采用Y电容。
电容器对于频率和电压的依存关系也没有考虑。这对于陶瓷电容器是非常重要的,因为这种电容器会受到电压和频率的明显影响。因此,采用陶瓷电容器的滤波器的漏电流也比计算结果更大。
3相供电网中的漏电流
要计算3相供电网中的漏电流,需要确定电源中性点MQ和负载中性点ML之间的电压。在电源端,是3个相电压UL1、UL2和UL3,与中性点MQ相连接。在负载端,是3个阻抗Z1、Z2和Z3,也与一个星型相连接。两个中性点MQ和ML通过阻抗ZQL相连,此阻抗上的压降为UQL。

图1:电源和负载和星型连接
阻抗ZQL的实际电压UQL可以使用下述公式计算:

无源3相滤波器的一种常见配置是3个X电容器的中性点连接,并通过Y电容器与地电位或者滤波器的外壳相连接。对于平衡电容电网,漏电流可以忽略。另一方面,当相位之间达到最高的不平衡时,电网达到最高的漏电流值。不平衡的原因包括电容器值的公差,以及供电网的电压不平衡。

图2:3相滤波器的典型电容器配置
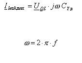
因此,漏电流的关键要素是电容器CX1、CX2和CX3的不平衡产生的电压UQL。对于大多数滤波器,额定值是相同的,但是也存在制造公差的影响。电容器CY处的压降UQL产生的漏电流Ileak, max可以根据下式确定:

大多数制造商在确定无源滤波器中的电容器的额定值时,公差为±20%。CY的最高压降发生在两个X电容器具有最小的公差,而一个电容器具有最大公差的时候。另外,假设CY的公差值最大。将这些假设代入方程(1)和(2),则漏电流为:
为更好地了解此理论,可以提供一个480V 3相滤波器的计算实例。电容器值为CX=4.4?F、CY=1.8?F;所有电容器的公差均为制造商规定的±20%。不考虑电源电压的不平衡,计算出的漏电流大约为23 mA。
实践经验表明电容器的公差差距不会如此之大。比较真实的公差范围从-20%至0%。根据此假设,上述计算得出的漏电流大约为10 mA。应该指出:不同制造商采用的滤波器漏电流计算方法并不统一。因此,即使两个滤波器的电路图和元件值相同,但是漏电流可能不同。
到目前为止,在计算中并没有考虑供电网的电压不平衡。在实际应用中,供电网确实存在不平衡。为在计算中考虑进此因素,采用了供电网标准EN 50160,此标准规定了公共供电网的状态。根据此标准,地区供电网的电压不平衡应该不超过3%。将此条件代入前述计算,当电容器公差为±20%时,漏电流上升到26 mA,当公差为+0/-20%时,漏电流为13 mA。
单相供电网中的漏电流
与3相供电网相比,单相供电网中的漏电流计算要容易的多。在电压和频率给定之后,漏电流只取决于总电容。图3所示是单相滤波器的典型电容器回路。

图3:单相滤波器的典型电容器配置
在正常工作时,漏电流由电容器CYL和CYN决定。总电流值由下式给出:
当CX=100 nF、CY=2.2 nF,并且给定的公差为±20%时,漏电流为190 ?A。最坏的情形发生在中性导体断开的时候。此时,总电容由两个平行电容器组成:一边是CYL,另一边是串联的CX和CYN。图4是等效电路图。

图4:中性导体断开时的总电容
总电容根据下述公式计算:

在发生故障时,最大漏电流可以高达377。
漏电流的测量
计算漏电流是一件事情,进行测量又是另外一件事情。各种产品安全标准规定了必要的测量方法。尽管不同标准之间存在差异,基本方法是类似的。下文将详细叙述根据EN 60950进行计算。
根据EN 60950进行测量
我们在“标准中的要求”中提到:EN 60950使用术语“接触电流”和“保护接地电流”而不是“漏电流”。测得的电流总是接触电流。因为单相和3相供电网所用的方法非常类似,所以只叙述单相设备所用的方法。
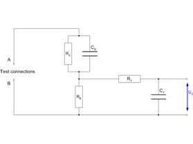
基本测量设置如图5所示。测量设备的输出B与系统的接地中性导体相连接。输出A通过开关STEST与设备的接地端子相连接。开关SPE打开。

接电源(Power connection)
被测设备(EUT)
测量设备(Measurement equipment)
图5:接触电流的测量设置
另外,测量必须采用反极性。为此,电路使用了开关SPOL。许可漏电流取决于设备的类型,并在标准中进行了规定。
另外,设备可操作件的接触电流的测量与设备类型无关。然而,并没有详细描述该测量,因为与漏电流自身无关。
图5所示的测量设备可以有2种版本。第一种可能性采用下图所示的电压测量回路。

测试连接(Test connections)
图6:电压测量设备
RS 1500 ?
RB 500 ?
R1 10 ?
CS 0.22 ?
C1 0.022 ?
测量电压U2所需的输入阻抗必须大于1 M?,输入电容必须小于200 pF。频率范围需要在15 Hz至1 MHz之间。U2到Ileak的转换公式为:
除了根据图6测量电压之外,还可以根据图7所示的电路测量电流。

测试连接(Test connections)
图7:电流测量设备
M 动圈式仪表
R1+ RV1+ Rm 在C=150 nF±1%时,1500?±1%,或者
在C=112 nF±1%且0.5 mA DC时,2000?±1%
D 测量整流器
RS 无感应电阻器,量程X 10
S 量程选择器
对于非正弦波形,并且频率超过100 Hz,则图6所示电压测量可以获得更为精确的结果。
供电网拓扑对漏电流的影响
在“漏电流的测量”中,已经提到当供电网和电容网络取得平衡时,漏电流最低。任何不平衡都将增大漏电流。
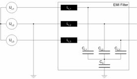
考虑到这一点,很明显供电网拓补对于设备漏电流具有明显的影响。对于某些供电网,甚至需要设计专用滤波器来降低漏电流。特别是在日本供电网中使用欧洲生产的滤波器。
日本供电网的特殊性是一个事实,一个相直接接地。如图8所示。

EMI滤波器(EMI Filter)
图8:日本供电网的原理
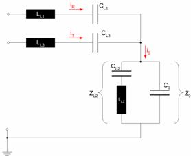
这种设置类型的并联连接是一个分支为LL2,另一个分支为CL2和C0。等效电路如图9所示。

图9:图8的等效电路
对于这种布局,接地阻抗完全不同,从而产生不同的压降和漏电流。因此,欧洲滤波器的漏电流额定值不能自动用在日本供电网中。
一种可能的解决方案是更改滤波器接地相的阻抗,从而产生不平衡的滤波器。另外一种备选方案是增加所有相位的阻抗,从而降低滤波器的总接地电容(Y电容),这样保持了滤波器的对称设置并且没有显著增大漏电流。
总结
出于安全考虑,在使用无源EMI滤波器时,需要考虑漏电流的影响。一般来说,大多数制造商定义了正常运行时每个相位的漏电流。
一般来说,漏电流的额定值不是测量的结果,而是计算值。计算前提并没有统一的标准,而是由制造商规定。这些前提包括元件的公差、电源电压的不平衡和操作模式(正常运行、故障状态)。因此,即使两个滤波器的电路图和元件的额定值相同,但是漏电流可能明显不同。
各种产品安全标准中规定了漏电流的测量,因此易于复制。然而,不能100%地进行生产测试。只在验证过程中,才进行类型测试。
最后,但不是最不重要的,漏电流还在很大程度上取决于供电网。在欧洲供电网中漏电流很低的滤波器在日本供电网中就表现出很大的漏电流。因此,很容易使现有的漏电流断路器跳闸。
尽责的制造商在其规范中总是标注可能发生的最大漏电流。最终用户很难可靠地计算设备或装置的总漏电流。
