环路滤波器具有低通特性,它可以起到图1-5(a)中低通滤波器的作用,更重要的是它对开关电源模块环路参数调整起着决定性的作用。环路滤波器是一个线性电路,在时域分*析中可用一个传输算子F(p)来表示,其中p(≡d/dt)是微分算子;在频*域分析中可用传递函数F(s)表示,其中s(a+jΩ)是复频率;若用s=jΩ代入F(s)就得到它的频率响应F(jΩ),故开关电源模块环路滤波器模型可表示为图1-7。

PLL的概念
我们所说的PLL。其实就是锁相环路,简称为锁相环。许多电子设备要正常工作,通常需要外部的输入信号与内部的振荡信号同步,利用锁相环路就可以实现这个目的。锁相环路是一种反馈控制电路,简称锁相环(PLL)。锁相环的特点是:利用外部输入的参考信号控制环路内部振荡信号的频率和相位。
因锁相环可以实现输出信号频率对输入信号频率的自动跟踪,所以锁相环通常用于闭环跟踪电路。开关电源模块锁相环在工作的过程中,当输出信号的频率与输入信号的频率相等时,输出电压与输入电压保持固定的相位差值,即输出电压与输入电压的相位被锁住,这就是锁相环名称的由来。
目前锁相环主要有模拟锁相环,数字锁相环以及有记忆能力(微机控制的)锁相环。
PLL的组成
锁相环通常由鉴相器(PD)、环路滤波器(LF)和压控振荡器(VCO)三部分组成,锁相环组成的原理框图如图8-4-1所示。
锁相环中的鉴相器又称为相位比较器,它的作用是检测输入信号和输出信号的相位差,并将检测出的开关电源模块相位差信号转换成uD(t)电压信号输出,该信号经低通滤波器滤波后形成压控振荡器的控制电压uC(t),对振荡器输出信号的频率实施控制。

环路滤波器的基本概念和功能
其实它是滤波器中的一种类型,因为这种滤波器使用在环路中,因此得名环路滤波器。它是PLL(锁相环)电路中的重要组成部分,要了解它必须先要对PLL的原理有一定了解。PLL的原理如下:
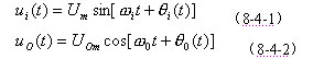
设外界输入的信号电压和压控振荡器输出的信号电压分别为:

式中的ω0为压控振荡器在输入控制电压为零或为直流电压时的振荡角频率,称为开关电源模块电路的固有振荡角频率。则模拟乘法器的输出电压uD为:

此时需要用低通滤波器LF将上式中的和频分量滤掉,快速衰减高频干扰,剩下的开关电源模块差频分量作为压控振荡器的输入,在开关电源模块环路跳出锁定状态时,提高环路以短期存储,并迅速恢复环路。
