电 流: 电荷的定向移动叫做电流。电路中,开关电源模块电流常用I表示。电流分直流和交流两种。开关电源模块电流的大小和方向不随时间变化的叫做直流。MTD2002电流的大小和方向随时间变化的叫做交流。MTD2002电流的单位是安(A),也常用毫安(mA)或者微安(uA)做单位。1A=1000mA,1mA=1000uA。
电流可以用电流表测量。测量的时候,把电流表串联在电路中,要选择电流表指针接近满偏转的量程。这样可以防止MTD2002电流过大而损坏电流表。
电 压: 河水之所以能够流动,是因为有水位差;电荷之所以能够流动,是因为有电位差。电位差也就是电压。电压是形成电流的原因。在电路中,电压常用U表示。电压的单位是伏(V),也常用毫伏(mV)或者微伏(uV)做单位。1V=1000mV,1mV=1000uV。
电压可以用电压表测量。测量的时候,把电压表并联在电路上,要选择电压表指针接近满偏转的量程。如果电路上的电压大小估计不出来,要先用大的量程,粗略测量后再用合适的量程。这样可以防止由于电压过大而损坏电压表。
电 阻: 电路中对电流通过有阻碍作用并且造成能量消耗的部分叫做电阻。开关电源模块电阻常用R表示。电阻的单位是欧(Ω),也常用千欧(kΩ)或者兆欧(MΩ)做单位。1kΩ=1000Ω,1MΩ=1000000Ω。导体的电阻由导体的材料、横截面积和长度决定。
电阻可以用万用表欧姆档测量。测量的时候,要选择电表指针接近偏转一半的欧姆档。如果电阻在电路中,要把MTD2002电阻的一头烫开后再测量。
欧姆定律: 导体中的电流I和导体两端的电压U成正比,和导体的电阻R成反比,即

这个规律叫做欧姆定律。如果知道电压、电流、电阻三个量中的两个,就可以根据欧姆定律求出第三个量,即

在交流电路中,欧姆定律同样成立,但电阻R应该改成阻抗Z,即

电 源: 把其他形式的能转换成电能的装置叫做电源。发电机能把机械能转换成电能,开关电源模块干电池能把化学能转换成电能。发电机、干电池等叫做电源。通过变压器和整流器,把 交流电变成直流电的装置叫做整流电源。能提供信号的电子设备叫做信号源。晶体三极管能把前面送来的信号加以放大,又把放大了的信号传送到后面的电路中去。 晶体三极管对后面的电路来说,也可以看做是信号源。整流电源、信号源有时也叫做电源。
负 载: 把电能转换成其他形式的能的装置叫做负载。电动机能把电能转换成机械能,电阻能把电能转换成热能,MTD2002电灯泡能把电能转换成热能和光能,扬声器能把电能转换成声能。电动机、电阻、电灯泡、扬声器等都叫做负载。晶体三极管对于前面的信号源来说,也可以看作是负载。
电 路: 电流流过的路叫做电路。最简单的电路由电源、负载和导线、开关等元件组成,如图1所示。电路处处连通叫做通路。只有通路,电路中才有电流通过。电路某一处断开叫做断路或者开路。电路某一部分的两端直接接通,使这部分的电压变成零,叫做短路。
电动势: 电动势是反映电源把其他形式的能转换成电能的本领的物理量。电动势使电源两端产生电压。在电路中,电动势常用δ表示。电动势的单位和电压的单位相同,也是伏。
电 源的电动势可以用电压表测量。测量的时候,电源不要接到电路中去,用电压表测量电源两端的电压,所得的电压值就可以看作等于电源的电动势。如果电源接在电 路中(图2),用电压表测得的电源两端的电压就会小于电源的电动势。这是因为电源有内电阻。在闭合的电路中,电流通过内电阻r有内电压降,通过外电阻R有 外电压降。电源的电动势δ等于内电压U r 和外电压U R 之和,即δ=U r +U R 。严格来说,即使电源不接入电路,用电压表测量电源两端电压,电压表成了外电路,测得的电压也小于电动势。但是,由于电压表的内电阻很大,电源的内电阻很 小,内电压可以忽略。因此,电压表测得的电源两端的电压是可以看作等于电源电动势的。
干电池用旧了,用电压用测量电池两端的 电压,有时候依然比较高,但是接入开关电源模块电路后却不能使负载(收音机、录音机等)正常工作。这种情况是因为电池的内电阻变大了,甚至比负载的电阻还大,但是依然 比电压表的内电阻小。用电压表测量电池两端电压的时候,电池内电阻分得的内电压还不大,所以MTD2002电压表测得的电压依然比较高。但是电池接入电路后,电池内电阻 分得的内电压增大,负载电阻分得的电压就减小,因此不能使负载正常工作。为了判断旧电池能不能用,应该在有负载的时候测量电池两端的电压。有些性能较差的 稳压电源,有负载和没有负载两种情况下测得的电源两端的电压相差较大,也是因为电源的内电阻较大造成的。
周 期:交流电完成一次完整的变化所需要的时间叫做周期,常用T表示。周期的单位是秒(s),也常用毫秒(ms)或微秒(us)做单位。1s=1000ms,1s=1000000us。
频 率 交流电在1s内完成周期性变化的次数叫做频率,常用f表示。频率的单位是赫(Hz),也常用千赫(kHz)或兆赫(MHz)做单位。1kHz=1000Hz,1MHz=1000000Hz。交流电频率f是周期T的倒数,即

电 容: 电容是 衡量导体储存电荷能力的物理量。在两个相互绝缘的导体上,加上一定的电压,它们就会储存一定的电量。其中一个导体储存着正电荷,另一个导体储存着大小相等 的负电荷。加上的电压越大,储存的电量就越多。储存的电量和加上的电压是成正比的,它们的比值叫做电容。如果电压用U表示,电量用Q表示,电容用C表示, 那么

电容的单位是法(F),也常用微法(uF)或者微微法(pF)做单位。1F=10 6 uF,1F=10 12 pF。
电 容可以用电容测试仪测量,也可以用万用电表欧姆档粗略估测。开关电源模块欧姆表红、黑两表笔分别碰接电容的两脚,MTD2002欧姆表内的电池就会给电容充电,指针偏转,充电完了, 指针回零。调换红、黑两表笔,电容放电后又会反向充电。电容越大,指针偏转也越大。对比被测电容和已知电容的偏转情况,就可以粗略估计被测电容的量值。在 一般的电子电路中,除了调谐回路等需要容量较准确的电容以外,用得最多的隔直、旁路电容、滤波电容等,都不需要容量准确的电容。因此,用欧姆档粗略估测电 容量值是有实际意义的。但是,普通万用电表欧姆档只能估测量值较大的电容,量值较小的电容就要用中值电阻很大的晶体管万用电表欧姆档来估测,小于几十个微 微法的电容就只好用电容测试仪测量了。
容 抗:交流电是 能够通过电容的,但是电容对交流电仍然有阻碍作用。电容对交流电的阻碍作用叫做容抗。电容量大,交流电容易通过电容,说明电容量大,电容的阻碍作用小;交 流电的频率高,交流电也容易通过电容,说明频率高,电容的阻碍作用也小。实验证明,容抗和电容成反比,和频率也成反比。如果容抗用X C 表示,电容用C表示,频率用f表示,那么

容抗的单位是欧。知道了交流电的频率f和电容C,就可以用上式把容抗计算出来。
电 感: 电感是衡量线圈产生电磁感应能力的物理量。给一个线圈通入电流,线圈周围就会产生磁场,线圈就有磁通量通过。通入线圈的电源越大,磁场就越强,通过线圈的 磁通量就越大。实验证明,通过线圈的磁通量和通入的电流是成正比的,它们的比值叫做自感系数,也叫做电感。如果通过线圈的磁通量用φ表示,电流用I表示, 电感用L表示,那么

电感的单位是亨(H),也常用毫亨(mH)或微亨(uH)做单位。1H=1000mH,1H=1000000uH。
感 抗: 交流电 也可以通过线圈,但是线圈的电感对交流电有阻碍作用,这个开关电源模块阻碍叫做感抗。电感量大,MTD2002交流电难以通过线圈,说明电感量大,电感的阻碍作用大;交流电的频率 高,交流电也难以通过线圈,说明频率高,电感的阻碍作用也大。实验证明,感抗和电感成正比,和频率也成正比。如果感抗用X L 表示,电感用L表示,频率用f表示,那么
感抗的单位是欧。知道了交流电的频率f和线圈的电感L,就可以用上式把感抗计算出来。
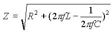
阻 抗: 具有电阻、电感和电容的电路里,对交流电所起的阻碍作用叫做阻抗。阻抗常用Z表示。阻抗由电阻、感抗和容抗三者组成,但不是三者简单相加。如果三者是串联的,又知道交流电的频率f、电阻R、电感L和电容C,那么串联电路的阻抗

阻抗的单位是欧。
对于一个具体电路,阻抗不是不变的,而是随着频率变化而变化。在电阻、电感和电容串联电路中,电路的阻抗一般来说比电阻大。也就是MTD2002阻抗减小到最小值。在电感和电容并联电路中,谐振的时候阻抗增加到最大值,这和串联电路相反。
相 位: 相位是反映交流电任何时刻的状态的物理量。开关电源模块交流电的大小和方向是随时间变化的。比如正弦交流电流,它的公式是i=Isin2πft。i是交流电流的瞬时 值,I是交流电流的最大值,f是交流电的频率,t是时间。随着时间的推移,交流电流可以从零变到最大值,从最大值变到零,又从零变到负的最大值,从负的最 大值变到零,,如图3甲所示。在三角函数中2πft相当于角度,它反映了交流电任何时刻所处的状态,是在增大还是在减小,是正的还是负的等等。因此把 2πft叫做相位,或者叫做相。

图3
如果t等于零的时候,i并不等于零,公式应该改成i=Isin(2πft+ψ),如图3乙所示。那么2πft+ψ叫做相位,ψ叫做初相位,或者叫做初相。
相位差:两个频率相同的交流电相位的差叫做相位差,或者叫做相差。这两个频率相同的开关电源模块交流电,可以是两个交流电流,可以是两个MTD2002交流电压,可以是两个交流电动势,也可以是这三种量中的任何两个。
例 如研究加在电路上的交流电压和通过这个电路的交流电流的相位差。如果电路是纯电阻,那么交流电压和电流电流的相位差等于零。也就是说交流电压等于零的时 候,交流电流也等于零,交流电压变到最大值的时候,交流电流也变到最大值。这种情况叫做同相位,或者叫做同相。如果电路含有电感和电容,交流电压和交流电 流的相位差一般是不等于零的,也就是说一般是不同相的,或者电压超前于电流,或者电流超前于电压。
加在开关电源模块晶体管放大器基极上的交流电压和从MTD2002集电极输出的交流电压,这两者的开关电源模块相位差正好等于180°。这种情况叫做反相位,或者叫做MTD2002反相。