无论何处,只要存在电流,就会产生电感。由驱动电路提供的电流会产生一个磁场,能量被储在磁场中。因为任何驱动电路都是一个功率有限的激励源,电流总会在有限的时间内建立一个稳定状态值。很快地建立或很快地衰减的电流阻力,称为电感。
图1.10显示了由30欧的激励源驱动一个电感而产生的电流和电压的理想波形。电感的阶跃响应的衰减变化是一个时间的函数,在电压阶跃的最初时刻,几乎没有电流流过,使得Y(T)II(T)比值非常高。在短时间内。电感起来如同开路。

随着时间的推移,Y(T)II(T)比值逐渐减小。最后,电压下降到接近于零,电感这时看起来如同短路一样,稍后,当环绕电感的磁场完全建立后,电流只受电感的直流电阻限制。比值Y(T)II(T)变得非常低。
图1.11显示了一个优化了的测量装置,用于揭示纳亨(NH)级电感的特性。这个装置适合用来测量接地走线或较短导线的电感。

例:一个小的接地电感的测量
本例中的被测设备(DUT)是一条的电路走线(见图1.11),长度为1IN,采用环氧树脂FR-4印刷电路板,1.5OZ的覆铜。该走线布在一个完整地平面的上方,标称间隔为0.008IN线宽是0.010IN。走线的远端通过一个0.035IN直径的过孔短接到地。当开路时,这个结构对地的寄生电容为2PF,当远端短接到地时,则减半,计算得到的电感大约是9NH。
我们打算使用一个800PS的上升时间来揭示这个电路的特性。首先确定一下我们所希望看到的:在该频率上寄生电容的阻抗远远大于电感的阻抗。

在我们的测量中出现的容抗值比预期的感抗值大8倍。电容的这一影响将会把L/R观测值提高12%。
测量装置由两个RG-174同轴电缆组成,分别用于输入和输出。输入电缆通过总和为49欧的电阻接地,其中包括驱动DUT抽头的10欧电阻。在这个测试夹具中,信号源没有像电容测试夹具中那样与DUT很好地隔离。在不同的DUT负载条件下,从信号源看到的端接阻抗在39欧到49欧之间变化。因为我们预料到DUT的不匹配会产生反射,所以不要忘记脉冲发生器的反向端接。
调整信号发生器,使之没有直流偏置。任何时候电感都会短路所有的直流偏置。
把信号源关掉,但50欧的反向端接仍然保持连接,在DUT端测量得到源端阻抗是7.6欧。这是信号源的50欧+39欧阻抗,抽头的10欧电阻以及探头号的50欧阻抗总的并联结果。
我们已经为DUT安排了一个低的源端阻抗,以放大L/R的衰减时间。如果用一个500欧戴维南等效源端电阻的测试夹具,预期的L/R时间将只有0.018NS。采用7.6欧的源端阻抗,预期L/R衰减常数为1.2NS。
在这个实验中,输出电缆直接把DUT连接到一个示波器的输入端,示波器的输入法端内部采用50欧端接。输入和输出电缆都是3FT长。
当驱动为2.4V阶跃输入时,图1.12显示了这个7.6欧装置的开路响应。示波器自动计算出的10~90%上升时间为788PS。阶跃幅度是417MV。探头的设置是1:1,因此DUT上的电压实际是417MV。

图1.13显示的是这个7.6欧测量装置的戴维南等效电路。

在DUT连接的情况下,观察到的电压波形显示为电感特性,电压随着输入信号很快上升,然后衰减到零。对于该装置,在整个可观察的时间范围上,从800PS到7NS,DUT都是感性的。指数衰减时间是1.36NS,其测试是通过对两个光标光标在电压上仔细定位,使其电压之比为乘数因子E。

采用关系式L=RT,从测量到的衰减常数,我们可以计算出DUT的电感:
我们可以用上升时间和频率之间的关系推导出一个粗略的办法:用电感与数字波形的前沿表示电抗。在考虑由于寄生串联电感引起的不良接地中导致的地信号反弹时,这种近似方法非常有用。
XL=πL/TR
例1.2的电感是一条1IN长的走线。对于3NS的上升沿,电抗为9.4欧。如果这个走线用来将一个50欧端接器接地,上升沿为3US时,总的端接值偏差20%。
如果这个走线用来将一排8个50欧端接地器接地,8个端接器的并联阻抗(50/8=6欧)实际上小于该走线的阻抗。如果所有的8个端接线路同时跳变,端接排将无法正常工作。
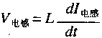
在任何时刻,电感上的电压与流过电感的电流的上升时间的关系总是依然下列通用公式:
后面当我们计算电路之间的电感引起的串扰时,将采用式
关于短接电路能不能工作,可以对比两种把数字线路短接到地的普通方式:一个刀片和尖嘴钳的两个尖嘴。
在调试过程中,经常需要把一个信号短接到地来验证一个电路正常(或不正常)。如果这个短接工具电感太大,窄脉冲将会从未短路的地方溜过。时钟线和异步中断线尤其容易受到这个窄脉冲问题的影响。
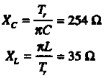
当用一个刀片短路两个相距0.3IN的电路节点时,其电感在几个纳亨的量级上。对于一个1NS的上升沿,刀片阻抗的大小约为6欧,见式。
当用一把尖嘴钳的一个尖嘴传送上去,其电感在10~20NH的量级上。信号从尖嘴钳的一个尖嘴传送上去,经过接合处,从另一个尖嘴上传送下来,其导致的电感要大于刀片的电感,对于同样的1NS的上升沿,尖嘴钳的阻抗至少有30欧,对于把一个短的TTL脉冲短路到地,30欧无论如何都不够低。