1、引言
神经及精神医学所设计的领域十分广泛,是现代医学与生物工程学研究的重要方向之一,其范围涵盖大脑及精神认知机理、脑功能检查、脑功能的调控与重建、脑和神经系统疾病的诊断、治疗与康复等诸多方向,有着广阔的发展前景。科学技术的进步推动了医疗器材的革新,一方面方便了医生,另一方面极大地为患者减轻了痛苦。经颅磁刺激能够改变皮质兴奋性,是一种无电极刺激形式,它是利用激励线圈产生时变磁场在目标组织中感应出电流,达到刺激可兴奋组织的目的。与传统电针刺激方式相比,磁刺激技术具有无痛,无损伤,对人体安全好且疗效确切等优点,在神经和精神科学研究和临床治疗领域得到广泛应用。TMS将为人类实现对某些脑生理活动的人为调控,探索脑疾患的诊断、治疗方法提供一种新的思路解决方案。
本文介绍经颅磁刺激引导源的设计要点,根据系统的要求,供电电压为32V直流电,主次电感均为600uH,工作频率为10Hz,可瞬间产生大约100A的电流。
2、引导源实现方案
引导源实现框图如图1所示,整个系统包括一个高稳定的直流稳压电源,两只半导体开关,低温漂储能电容器C,一个低阻值负载R,两个大感抗低阻值的电感线圈,其中L1是主线圈,L2是副线圈。

图1 引导源原理图和能量回授电路
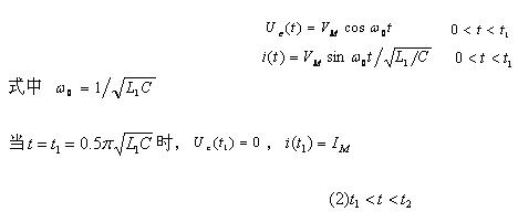
在电源准备状态,直流电源给储能电容C充电到额定值。当触发指令到时,半导体开关K2导通。
电容C通过K2给负载放电。整个回路是一个标准的RLC串联谐振网络,且工作在欠阻尼状态,放电电流波形近似为半正弦波,脉冲底宽约为。
实际应用过程中,在储能电容C上再并接一个线圈、二极管网络,以便在电容C上电压反向后,再建立起一个辅助谐振电路,使电容C上电压又回到正值,如果回路中各个元件均为理想元件(电阻不计),则电容器C上电压又会回到,从而达到能量回授的目的。
3、回路在一个重复周期内电压、电流的分析
在触发脉冲到来后,根据K2和V1导通与否而分为3个阶段。
这一阶段是标准LC放电回路。此间,K2导通,V1截止。

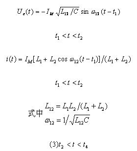
当电容上电压经过零点变负时,V1导通,辅助回路工作,两个回路均有电流流过,L2对电容进行反向充电,电容C两端的电压反向,时刻电容两端的电压达到反向最大电压。

在t=t2以后,由于K2承受反向电压而关断,主回路停止工作,辅助谐振回路由于V1的截止作用,电路进入半周期谐振状态,如图2(b)所示。
经过一个完整的电路工作周期分析可知,电容C上的电压由于辅助回路最终恢复为正,在回路理想的情况下,这一电压与初始值一致。事实上回路总有电阻,肯定要有能量损耗。经过一个工作周期后这一电压大约跌落至起始值的70%左右。
4、系统仿真及实现
4.1 系统仿真
系统实现之前,用Multisim软件分别对充放电控制电路和系统进行仿真,其仿真的结果如图2所示。

图2 仿真波形
图2(a)上面的脉冲为控制充电脉冲,下面的是控制放电脉冲,当脉冲为高电平时半导体开关导通。为了保证充电充分,在充电完毕后等待一段时间再放电。充电的时间为20ms,放电的时间大约为3ms,充放电间隔也为3ms。在实际实现过程中充电时间的长短还得由电源与储能电容的大小决定。
4.2 系统实现
为了减小充电时对稳压电源的压力,与稳压电源并接一大电容C2,使电源简接给电容充电;为了更为有效地充放电,利用电容一等效结构;功率场效应晶体管和可关断晶闸管分别作为开关K1和K2。
功率场效应晶体管是压控型器件,它具有开关速度快、损耗低、驱动电流小、无二次击穿现象等优点[5]。其门极控制信号是电压,它的三个极分别是栅极G,源极S,漏极D。当达到额定值时,功率场效应晶体管导通,否则关断。可关断晶闸管具有耐压高、电流大、承受冲击能力强和造价低等优点,同时,它又可用门极信号控制其导通或关断。可关断晶闸管的工作原理可以用两个条件来加以说明,一个是导通条件,一个是关断条件。导通条件是指晶闸管从阻断到导通所需的条件。这个条件是晶闸管的阳极加上正向电压,同时在门极加上正向电压。关断条件是指晶闸管从导通到阻断的条件。晶闸管一旦导通,门极对晶闸管就不起控制作用。关断条件要求流过晶闸管中的电流小于保持晶闸管导通所需的电流,即维持电流。通常当晶闸管的阳极已加上了正电压并导通的情况下,要减少晶闸管中的电流有二种办法。一种办法是降低电压;另一种办法是增大晶闸管回路的串联电阻[6]。如图3所示,K为晶闸管阳极,G1为控制极,当正向电压加到K与G1两端时,晶闸管被触发导通;正向电压消失后,晶闸管被控制关断。

图3 引导源实现电路
为了减小强电对弱电的影响,采用光电耦合器件和由555触发器、变压器构成的隔离电源;实现过程中,利用稳压直流电源产生32V直流电压;利用信号发生器产生幅值为5V,频率为10Hz的控制充电脉冲;利用74LS123芯片控制充放电间隔和放电时间的长短;电阻R取0.1ohm,线圈L1和L2的电阻值要非常小,这样线圈消耗的能量可忽略不计。图4分别是两个开关的控制电路。

图4 开关控制电路
5 实验结果
图5(a)是线圈L1两端的电压波形,每格代表5V,充电完毕后电容器C两端的电压为32V。通过对比仿真波形,得出结论此系统是可以实现的。图5(b)是流过电阻R两端的电压,每格代表2V,由此可推断流过R的电流大约为100A,短时间内产生这样大的电流必然会引起线圈L1内磁场的骤然增加,利用线圈L1产生时变磁场在目标组织中感应出电流,达到对人体进行磁刺激治疗的目的。

图5 测试结果
6、结束语
磁刺激仪发展滞后于应用研究,与第一台磁刺激仪相比,现在的磁刺激仪基本上没有很大变化。其主要问题在于磁刺激激励线圈聚焦性能,表现在磁刺激结果重复性差,不能精确刺激选择解剖位置。TMS的进一步发展仍有待于磁刺激技术本身的完善,研制出新的或改进现有的磁刺激系统。
引导源作为磁刺激仪中的关键部件,其设计指标的好坏直接影响到磁刺激仪的治疗效果,在越短的时间内产生越大的电流是整个系统的设计宗旨。这样设计可使磁刺激激励线圈聚焦性能有较大的提高,增强了对被刺激神经的选择性和定位性能,具备很强的工程可实现性。